27/08/2025

ft. Hoàng
27/08/2025
Morning Cậu chia nhỏ ra dễ được nhận câu trả lời ạ
༺ ✩𝕄𝕆𝕆ℕ✩ ༻
27/08/2025
ok

27/08/2025
31/08/2025

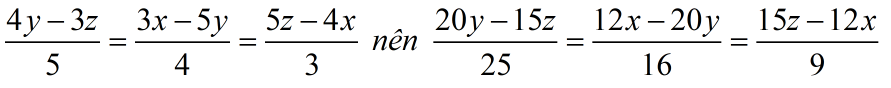
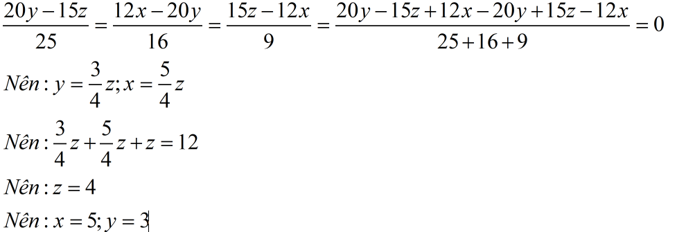
Theo tính chất của dãy tỉ số bằng nhau ta có:

Nếu bạn muốn hỏi bài tập
Các câu hỏi của bạn luôn được giải đáp dưới 10 phút
CÂU HỎI LIÊN QUAN
06/12/2025
06/12/2025
Top thành viên trả lời