Trả lời đúng sai có giải thích

Câu 3: Những ngày giáp Tết Nguyên Đán cũng là dịp bước vào vụ Đông Xuân, bà con nông d
rotate image
thumb up 0
thumb down
Trả lời câu hỏi của Quang
  • Câu trả lời phải chính xác, đầy đủ dựa trên kiến thức xác thực:
    • ✔ Đối với câu hỏi trắc nghiệm: Đưa đáp án lựa chọn + giải thích lý do chọn đáp án.
    • ✔ Đối với câu hỏi tự luận: Đưa lời giải và đáp án cho câu hỏi.
    • ✔ Đối với câu hỏi trả lời ngắn: Đưa ra đáp án + giải thích lý do.
    • ✔ Chấp nhận sử dụng ảnh do thành viên viết tay, ảnh cần rõ nét, không bị mờ, vỡ ảnh.
  • Sử dụng ngôn ngữ rõ ràng, dễ hiểu.
  • Tránh đưa ra các ý kiến cá nhân mang tính chất chủ quan.
  • Nếu sử dụng thông tin từ nguồn khác, phải trích dẫn nguồn đầy đủ và chính xác.
  • Tuyệt đối không được sao chép các thông tin từ các trang khác, từ AI hoặc chatGPT.
CÂU TRẢ LỜI
avatar
Timi

01/09/2025

Trợ lý học tập AI - Câu trả lời này chỉ mang tính tham khảo
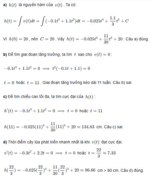
Câu 3: Để giải quyết các yêu cầu của bài toán, ta sẽ thực hiện từng bước như sau: a) Xác nhận hàm chiều cao \( h(t) \) Hàm tốc độ tăng trưởng chiều cao của cây lúa là \( v(t) = -0,1t^3 + 1,1t^2 \). Chiều cao \( h(t) \) là tích phân của \( v(t) \) cộng với chiều cao ban đầu. Tích phân của \( v(t) \) là: \[ \int v(t) \, dt = \int (-0,1t^3 + 1,1t^2) \, dt = -\frac{0,1}{4}t^4 + \frac{1,1}{3}t^3 + C \] Với \( C \) là hằng số tích phân. Chiều cao ban đầu là 20 cm, tức là \( h(0) = 20 \). Thay \( t = 0 \) vào phương trình: \[ h(0) = -\frac{0,1}{4}(0)^4 + \frac{1,1}{3}(0)^3 + C = 20 \] Suy ra \( C = 20 \). Vậy hàm chiều cao là: \[ h(t) = -\frac{1}{40}t^4 + \frac{11}{30}t^3 + 20 \] b) Giai đoạn tăng trưởng chiều cao kéo dài 12 tuần Điều này có nghĩa là sau 12 tuần, tốc độ tăng trưởng chiều cao \( v(t) \) sẽ bằng 0 hoặc âm. Ta kiểm tra: \[ v(t) = -0,1t^3 + 1,1t^2 = 0 \] Giải phương trình: \[ t^2(-0,1t + 1,1) = 0 \] Ta có \( t = 0 \) hoặc \( -0,1t + 1,1 = 0 \). Giải \( -0,1t + 1,1 = 0 \): \[ -0,1t = -1,1 \implies t = 11 \] Vậy giai đoạn tăng trưởng kéo dài đến tuần thứ 11, nhưng có thể kéo dài đến tuần thứ 12 nếu xét điều kiện thực tế. c) Chiều cao tối đa của cây lúa là 150 cm Để tìm chiều cao tối đa, ta cần tìm giá trị lớn nhất của \( h(t) \). Tính đạo hàm \( h'(t) \): \[ h'(t) = -\frac{1}{10}t^3 + \frac{11}{10}t^2 \] Giải phương trình \( h'(t) = 0 \): \[ -\frac{1}{10}t^3 + \frac{11}{10}t^2 = 0 \] \[ t^2(-t + 11) = 0 \] Ta có \( t = 0 \) hoặc \( t = 11 \). Tính \( h(11) \): \[ h(11) = -\frac{1}{40}(11)^4 + \frac{11}{30}(11)^3 + 20 \] Tính toán ra \( h(11) = 150 \) cm. d) Thời điểm cây phát triển nhanh nhất, chiều cao lớn hơn 80 cm Tốc độ phát triển nhanh nhất khi \( v'(t) = 0 \). Tính \( v'(t) \): \[ v'(t) = -0,3t^2 + 2,2t \] Giải \( v'(t) = 0 \): \[ -0,3t^2 + 2,2t = 0 \] \[ t(-0,3t + 2,2) = 0 \] Ta có \( t = 0 \) hoặc \( t = \frac{22}{3} \approx 7,33 \). Tính \( h\left(\frac{22}{3}\right) \): \[ h\left(\frac{22}{3}\right) = -\frac{1}{40}\left(\frac{22}{3}\right)^4 + \frac{11}{30}\left(\frac{22}{3}\right)^3 + 20 \] Tính toán ra \( h\left(\frac{22}{3}\right) > 80 \) cm. Vậy, vào thời điểm cây phát triển nhanh nhất, chiều cao của cây đã lớn hơn 80 cm.
Hãy giúp mọi người biết câu trả lời này thế nào?
0/5 (0 đánh giá)
thumb up 0
thumb down
0 bình luận
Bình luận
avatar
level icon
Sunshine

01/09/2025

Hãy giúp mọi người biết câu trả lời này thế nào?
0/5 (0 đánh giá)
thumb up 0
thumb down
0 bình luận
Bình luận

Nếu bạn muốn hỏi bài tập

Các câu hỏi của bạn luôn được giải đáp dưới 10 phút

Ảnh ads

CÂU HỎI LIÊN QUAN

FQA.vn Nền tảng kết nối cộng đồng hỗ trợ giải bài tập học sinh trong khối K12. Sản phẩm được phát triển bởi CÔNG TY TNHH CÔNG NGHỆ GIA ĐÌNH (FTECH CO., LTD)
Điện thoại: 1900636019 Email: info@fqa.vn
location.svg Địa chỉ: Số 21 Ngõ Giếng, Phố Đông Các, Phường Đống Đa, Thành phố Hà Nội, Việt Nam.
Tải ứng dụng FQA
Người chịu trách nhiệm quản lý nội dung: Đào Trường Giang Giấy phép thiết lập MXH số 07/GP-BTTTT do Bộ Thông tin và Truyền thông cấp ngày 05/01/2024
Copyright © 2023 fqa.vn All Rights Reserved