
02/09/2025
02/09/2025

02/09/2025
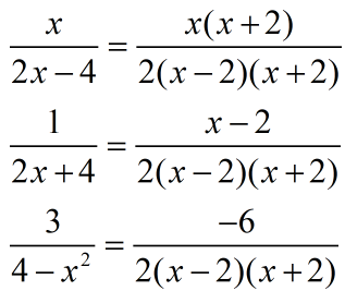
$\frac{x}{2x-4}=\frac{x}{2\left(x-2\right)}=\frac{x\left(x+2\right)}{2\left(x-2\right)\left(x+2\right)}=\frac{x^2+2x}{2\left(x-2\right)\left(x+2\right)}$
$\frac{1}{2x+4}=\frac{1}{2\left(x+2\right)}=\frac{x-2}{2\left(x+2\right)\left(x-2\right)}$
$\frac{3}{4-x^2}=\frac{-3}{\left(x-2\right)\left(x+2\right)}=\frac{-3.2}{2\left(x-2\right)\left(x+2\right)}=\frac{-6}{2\left(x-2\right)\left(x+2\right)}$.
Nếu bạn muốn hỏi bài tập
Các câu hỏi của bạn luôn được giải đáp dưới 10 phút
CÂU HỎI LIÊN QUAN
5 giờ trước
5 giờ trước
5 giờ trước
5 giờ trước
Top thành viên trả lời