03/09/2025


03/09/2025
03/09/2025
Bài 3

03/09/2025
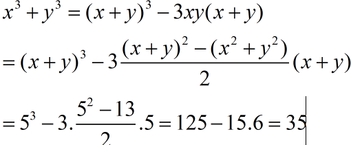
**Bài 3**: \( x^3 + y^3 \)
**Bài 4**: \( A = 2(x^3 - y^3) - 3(x + y)^2 \)
**Bài 5**: \( A = \frac{2025^3 - 1}{2025^2 + 2026} \)
Nếu bạn muốn hỏi bài tập
Các câu hỏi của bạn luôn được giải đáp dưới 10 phút
CÂU HỎI LIÊN QUAN
6 giờ trước
12/11/2025
Top thành viên trả lời