08/11/2025


08/11/2025
08/11/2025

08/11/2025
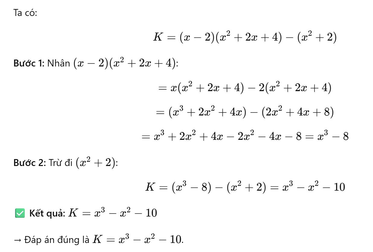
$K=\left(x-2\right)\left(x^2+2x+4\right)-\left(x^3+2\right)$
$=\left(x^3-2^3\right)-\left(x^3+2\right)$
$=\left(x^3-x^3\right)+\left(-8-2\right)$
$=-10$.
Nếu bạn muốn hỏi bài tập
Các câu hỏi của bạn luôn được giải đáp dưới 10 phút
CÂU HỎI LIÊN QUAN
09/12/2025
09/12/2025
Top thành viên trả lời