
16/11/2025
16/11/2025
Chiều rộng mảnh đất là x -6 (m)
Chiều dài khu vườn trồng hoa là x- 4 (m)
Chiều rộng khu vườn trồng hoa là x- 10 (m)
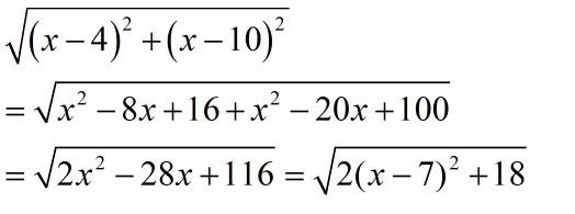
Đường chéo khu vườn trồng hoa là

Vì (x-7)2 ≥ 0 với mọi x nên đường chéo khu vườn ≥ 3 căn 2.
Dấu "=" xảy ra khi x - 7 = 0 hay x = 7
Vậy x =7
Nếu bạn muốn hỏi bài tập
Các câu hỏi của bạn luôn được giải đáp dưới 10 phút
CÂU HỎI LIÊN QUAN
09/12/2025
09/12/2025
08/12/2025
Top thành viên trả lời