Toán 10 - Phần kiến thức đầu tiên khi các em bước vào THPT. Đây là phần nền, kiến thức cơ bản với những công thức quan trọng để có thể giúp các em học những phần sau.
Vậy Toán 10 sẽ có những kiến thức quan trọng nào? Đề thi luyện tập ra sao? Cùng Admin tìm hiểu ngay trong bài chia sẻ bên dưới nhé!
Tổng hợp kiến thức toán 10 phần Đại số
Đại số 10 sẽ bao gồm 6 chương:
- Chương 1: Mệnh đề - Tập hợp
- Chương 2: Hàm số bậc nhất và bậc hai
- Chương 3: Phương trình. Hệ phương trình
- Chương 4: Bất đẳng thức. Bất phương trình
- Chương 5: Thống kê
- Chương 6: Cung và góc lượng giác. Công thức lượng giác

Tổng hợp kiến thức toán 10 phần Đại số
Dưới đây là những công thức quan trọng mà các em cần ghi nhớ trong phần Đại số Toán 10
Công thức giải nhanh Toán lớp 10 Chương 3 Đại số
Các công thức về phương trình bậc hai: ax2 + bx + c = 0 (a ≠ 0)
1. Công thức nghiệm của phương trình bậc hai: Δ = b2 - 4ac
Δ < 0: Phương trình vô nghiệm
Δ = 0: Phương trình có nghiệm kép
x1 = x2 = - b/2a
Δ > 0: Phương trình có 2 nghiệm phân biệt

2. Công thức nghiệm thu gọn của phương trình bậc hai
Nếu b chẵn ta dùng công thức nghiệm thu gọn

Δ' < 0: Phương trình vô nghiệm
Δ' = 0: Phương trình có nghiệm kép

Δ' > 0: Phương trình có 2 nghiệm phân biệt

3. Định lý Vi-ét:
Nếu phương trình bậc hai ax2 + bx + c = 0 có hai nghiệm x1; x2 thì

4. Các trường hợp đặc biệt của phương trình bậc hai:
- Nếu a + b + c = 0 thì phương trình có nghiệm:

- Nếu a - b + c = 0 thì phương trình có nghiệm:

5. Dấu của nghiệm số: ax2 + bx + c = 0 (a ≠ 0)
- Phương trình có hai nghiệm trái dấu: x1 < 0 < x2 ⇔ P < 0
- Phương trình có hai nghiệm dương phân biệt: 0 < x1 < x2

- Phương trình có hai nghiệm âm phân biệt x1 < x2 < 0

Công thức giải nhanh Toán lớp 10 Chương 4 Đại số chi tiết nhất
1. Bất đẳng thức
a) Các tính chất cơ bản của bất đẳng thức
+ Tính chất 1 (tính chất bắc cầu): a > b và b > c ⇔ a > c
+ Tính chất 2 (liên hệ giữa thứ tự và phép cộng): a > b ⇔ a + c > b + c (cộng hai vế của bất đẳng thức với cùng một số ta được bất đẳng thức cùng chiều và tương đương với bất đẳng thức đã cho).
Hệ quả (Quy tắc chuyển vế): a > b + c ⇔ a - c > b
+ Tính chất 3 (quy tắc cộng):

+ Tính chất 4 (liên hệ giữa thứ tự và phép nhân)
a > b ⇔ a.c > b.c nếu c > 0
Hoặc a > b ⇔ a.c < b.c nếu c < 0
+ Tính chất 5 (quy tắc nhân):

(Nhân hai vế tương ứng của 2 bất đẳng thức cùng chiều ta được một bất đẳng thức cùng chiều)
Hệ quả (quy tắc nghịch đảo):

+ Tính chất 6:

+ Tính chất 7:

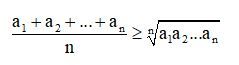
b) Bất đẳng thức Cauchy (Cô-si)
Định lí: Trung bình cộng của hai số không âm lớn hơn hoặc bằng trung bình nhân của chúng.

Dấu "=" xảy ra khi và chỉ khi a = b.
Hệ quả 1: Nếu 2 số dương có tổng không đổi thì tích của chùng lớn nhất khi 2 số đó bằng nhau.
Ý nghĩa hình học: Trong tất cả các hình chữ nhật có cùng chu vi, hình vuông có diện tích lớn nhất.
Hệ quả 2: Nếu 2 số dương có tích không đổi thì tổng của chùng nhỏ nhất khi 2 số đó bằng nhau.
Ý nghĩa hình học: Trong tất cả các hình chữ nhật có cùng diện tích hình vuông có chu vi nhỏ nhất.
+ Bất đẳng thức Côsi cho n số không âm a1; a2; …; an (n ∈ N*, n ≥ 2

Dấu "=" xảy ra khi và chỉ khi a1 = a2 = … = an
c) Bất đẳng thức chứa dấu giá trị tuyệt đối
Định lý: Với mọi số thực a và b ta có:
|a + b| ≤ |a| + |b|
||a| - |b|| ≤ |a - b|
Dấu "=" xảy ra khi và chỉ khi ab ≥ 0.
d) Một số bất đẳng thức khác
+) x2 ≥ 0 ∀x ∈ R
+) [a] + [b] ≤ [a + b]
Trong đó [x] gọi là phần nguyên của số x, là số nguyên lớn nhất không lớn hơn x:
[x] ≤ x < [x] + 1
+) (a2 + b2)(x2 + y2) ≥ (ax + by)2 ∀a, b, x, y ∈ R.
2. Các công thức về dấu của đa thức
a) Dấu của nhị thức bậc nhất
Nhị thức bậc nhất f(x) = ax + b (a ≠ 0)cùng dấu với hệ số a khi x > - b/a , trái dấu với hệ số a khi x < - b/a.
b) Dấu của tam thức bậc hai
f(x) = ax2 + bx + c (a ≠ 0)
Biệt thức Δ = b2 - 4ac
Δ < 0: f(x) cùng dấu với hệ số a
Δ = 0: f(x) cùng dấu với hệ số a với mọi x ≠ - b/2a
Δ > 0: f(x) có hai nghiệm x1; x2 (x1 < x2)
x | - ∞ | x1 | x2 | + ∞ | |||
f(x) | cùng dấu a | 0 | trái dấu a | 0 | cùng dấu a |
*) Các công thức về điều kiện để tam thức bậc hai không đổi dấu trên R.

c) Dấu của đa thức bậc lớn hơn hoặc bằng 3. Bắt đầu ô bên phải cùng dấu với hệ số a của số mũ cao nhất, qua nghiệm đơn đổi dấu, qua nghiệm kép không đổi dấu.
3. Các công thức về phương trình và bất phương trình chứa dấu trị tuyệt đối
a) Phương trình

b) Bất phương trình

|A| < |B| ⇔ A2 < B2 ⇔ A2 - B2 < 0 ⇔ (A - B)(A + B) < 0
|A| ≤ |B| ⇔ A2 ≤ B2 ⇔ A2 - B2 ≤ 0
4) Các công thức về phương trình và bất phương trình chứa dấu căn bậc hai
a) Phương trình

b) Bất phương trình

Công thức giải nhanh Toán lớp 10 Chương 5 Đại số chi tiết nhất
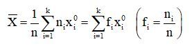
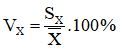
1. Giá trị trung tâm, tần số, tần suất của các lớp trong bảng phân phối ghép lớp
Dấu hiệu X
Các giá trị: x1; x2; …;xn
- Lớp thứ i có các đầu mút xi và xi+1 thì
là giá trị trung tâm của lớp thứ i.
- Tần số của lớp thứ i là số ni các giá trị trong khoảng thứ i.
- Tần suất của lớp thứ i là fi = ni/n(n là số giá trị của tất cả bảng)
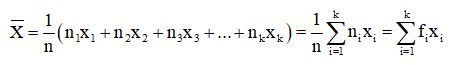
2. Số trung bình cộng, mốt, số trung vị
- Dấu hiệu X có các giá trị khác nhau với các tần số tương ứng sau:
Giá trị | x1 | x2 | x3 | ... | xk |
Tần số | n1 | n2 | n3 | ... | nk |
Với n1 + n2 + n3 + … + nk = n thì số trung bình cộng được tính theo công thức

- Nếu dấu X có bảng phân phối ghép lớp, có k lớp với giá trị trung tâm lần lượt là: x1, x2, x3, … xn và các tần số tương ứng là: n1; n2; n3; …; nk với n1 + n2 + n3 + … + nk = n thì số trung bình là:

- Mốt của dấu hiệu là giá trị có tần số lớn nhất.
- Số trung vị
Một bảng thống kê số liệu được sắp thứ tự không giảm (hoặc không tăng)
x1 ≤ x2 ≤ ... ≤ xn (hoặc x1 ≥ x2 ≥ ... ≥ xn )
Số trung vị của dãy số liệu là Me
Me = xk+1 , nếu n = 2k + 1, k ∈ N
Me = (xk + x(k+1))/2, nếu n = 2k, k ∈ N
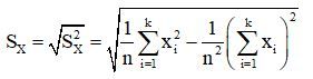
3. Phương sai, độ lệch chuẩn, hệ số biến thiên
- Phương sai
Cho bảng số liệu dấu hiệu X gồm n giá trị sau:
Giá trị (xi) | x1 | x2 | x3 | ... | xi | ... | xk | Cộng |
Tần số (ni) | n1 | n2 | n3 | ... | ni | ... | nk | n |
Khi đó phương sai

Với
là số trung bình cộng.
- Độ lệch chuẩn:

- Hệ số biến thiên:

Tổng hợp kiến thức toán 10 phần Hình học
Trong phần Hình học 10
- Chương 1: Vectơ
- Chương 2: Tích vô hướng của hai vectơ và ứng dụng
- Chương 3: Phương pháp tọa độ trong mặt phẳng

Tổng hợp kiến thức toán 10 phần Hình học
Phần công thức quan trọng của phần Hình học Toán 10 các em cần phải ghi nhớ bao gồm:
Công thức giải nhanh Toán lớp 10 Chương 1 Hình học chi tiết nhất
+ Quy tắc hình bình hành:

Cho hình bình hành ABCD, ta có:

(Tổng hai vectơ cạnh chung điểm đầu của một hình bình hành bằng vecto đường chéo có cùng điểm đầu đó.)
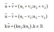
+ Tính chất của phép cộng các vectơ


+ Quy tắc ba điểm
Với ba điểm A, B, C tùy ý, ta luôn có:

+ Quy tắc trừ:

+ Với 4 điểm A, B, C, D bất kì, ta luôn có:

+ Công thức trung điểm:
- Điểm I là trung điểm của đoạn thẳng AB khi và chỉ khi:

- Với mọi điểm M bất kì ta có:

+ Công thức trọng tâm
- G là trung điểm của tam giác ABC khi và chỉ khi:

- Với mọi điểm M bất kì ta có:

+ Tính chất tích của vectơ với một số
Với hai vectơ a và b bất kì, với mọi số h và k, ta có

+ Điều kiện để hai vectơ cùng phương:
Điều kiện cần và đủ để hai vectơ a và b (b # 0) cùng phương là có một số k để:

+ Phân tích một vectơ theo hai vectơ không cùng phương
Cho hai vectơ a và b không cùng phương. Khi đó mọi vectơ x đều phân tích được một cách duy nhất theo hai vectơ a và b, nghĩa là có duy nhất cặp số h, k sao cho:

+ Hệ trục tọa độ
- Hai vectơ bằng nhau:
Nếu vecto u = (x; y) và vecto u’ = (x'; y') thì:

- Tọa độ của vectơ
Cho hai điểm A(xA; yA), B(xB; yB) thì ta có A.B = (xB - xA; yB - yA)
- Cho vectơ u = (u1; u2) và vectơ v = (v1; v2). Khi đó

- Tọa độ trung điểm của đoạn thẳng
Cho đoạn thẳng AB có A(xA; yA), B(xB; yB) và I(xI; yI) là trung điểm của AB
Khi đó ta có

- Tọa độ trọng tâm của tam giác
Cho tam giác ABC có A(xA; yA), B(xB; yB), C(xC; yC). Khi đó tọa độ trọng tâm G(xG; yG) của tam giác ABC là:

Công thức giải nhanh Toán lớp 10 Chương 2 Hình học chi tiết nhất
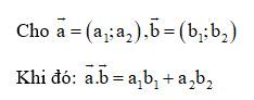
1. Tích vô hướng của hai vectơ

+ Tính chất của tích vô hướng
Với ba vectơ a, b, c bất kì và mọi số k ta có:

+ Biểu thức tọa độ của tích vô hướng

+ Hai vectơ vuông góc: a ⊥ b khi a1b1 + a2b1= 0
+ Độ dài của vectơ a = (a1, a2) là |a| = √ a12 + a22
+ Góc giữa hai vectơ
Cho vectơ a = (a1, a2), vecto b = (b1, b2) đều khác vectơ 0 thì ta có:

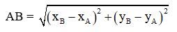
+ Khoảng cách giữa hai điểm A(xA; yA) và B(xB; yB):

2. Các hệ thức lượng trong tam giác
+ Hệ thức lượng trong tam giác vuông


+ Định lý côsin

Trong tam giác ABC bất kỳ với BC = a, CA = b, AB = c thì
a2 = b2 + c2 - 2bc cosA
b2 = a2 + c2 - 2ac cosB
c2 = a2 + b2 - 2ab cosC
Hệ quả định lý côsin

+ Công thức độ dài đường trung tuyến
Cho tam giác ABC có BC = a, CA = b, AB = c. Gọi
là độ dài các đường trung tuyến lần lượt vẽ từ các đỉnh A, B và C của tam giác. Khi đó ta có
|
|
+ Định lý sin
Trong tam giác ABC bất kỳ với BC = a, CA = b, AB = c và R là bán kính đường tròn ngoại tiếp, ta có:

3. Công thức tính diện tích tam giác
Cho tam giác ABC có BC = a, CA = b, AB = c.
ha; hb; hc lần lượt là độ dài đường cao kẻ từ A, B và C của tam giác ABC.
R và r lần lượt là bán kính đường tròn ngoại tiếp, nội tiếp tam giác và p = (a+b+c)/2 là nửa chu vi của tam giác ABC. Khi đó ta có

+ Đặc biệt
Tam giác vuông: S = ½ x tích hai cạnh góc vuông
Tam giác đều cạnh a: S = 2√3/4
Hình vuông cạnh a: S = 2
Hình chữ nhật: S = dài x rộng
Hình bình hành ABCD: S = đáy x chiều cao hoặc S = AB.AD.sinA
Hình thoi ABCD: S = đáy x chiều cao
S = AB.AD.sinA
S = ½ x tích hai đường chéo
Hình tròn: S = πR2 (R là bán kính)
Công thức giải nhanh Toán lớp 10 Chương 3 Hình học chi tiết nhất
1. Các dạng phương trình đường thẳng
a) Phương trình tổng quát của đường thẳng
+) Đường thẳng d đi qua điểm M(x0; y0) và nhận vecto n = (a; b) làm VTPT với a2 + b2 ≠ 0 có phương trình là: a(x - x0) + b(y - y0) = 0
Hay ax + by - ax0 - by0 = 0
Đặt -ax0 - by0 = c
Khi đó ta có phương trình tổng quát của đường thẳng d nhận vecto n = (a; b) làm VTPT là: ax + by + c = 0 (a2 + b2 ≠ 0)
+) Các dạng đặc biệt của phương trình đường thẳng
- (d): ax + c = 0 (a ≠ 0): (d) song song hoặc trùng với Oy
- (d): by + c = 0 (b ≠ 0): (d) song song hoặc trùng với Ox
- (d): ax + by = 0 (a2 + b2 ≠ 0): (d) đi qua gốc tọa độ
- Phương trình đoạn chắn: x/a + y/b = 1 nên (d) đi qua A(a; 0) và B(0; b) (a, b ≠ 0)
b) Phương trình tham số của đường thẳng
Đường thẳng d đi qua điểm M(x0; y0) và nhận vecto u = (a1; a2) làm VTCP có phương trình tham số là:

(với t là tham số,x/a + y/b ≠ 0)
c) Phương trình chính tắc của đường thẳng
Có dạng:
(a, b ≠ 0) là đường thẳng đi qua điểm M(x0; y0) và nhận vecto u = (a1; a2) làm VTCP.
d) Phương trình đường thẳng đi qua hai điểm
Phương trình đường thẳng đi qua hai điểm A(xA; yA) và B(xB; yB) có dạng:

+ Nếu xA = xB thì AB: x = xB
+ Nếu yA = yB thì AB: y = yA
e) Phương trình đường thẳng theo hệ số góc
- Đường thẳng d đi qua điểm M(x0; y0) và có hệ số góc là k.
Phương trình đường thẳng d là: y - y0 = k(x - x0)
- Rút gọn phương trình này ta được dạng quen: y = kx + m
với k là hệ số góc và m là tung độ gốc.
2. Vị trí tương đối của hai đường thẳng
Cho hai đường thẳng d1: ax + by + c1 = 0 và d2: ax + by + c2 = 0
+ Cách 1. Áp dụng trong trường hợp a1.b1.c1 # 0
+ Cách 2. Giao điểm của hai đường thẳng d1 và d2 (nếu có) là nghiệm của hệ phương trình

3. Góc giữa hai đường thẳng
Cho hai đường thẳng d1: ax + by + c1 = 0 và d2: ax + by + c2 = 0
Gọi α là góc giữa hai đường thẳng d1 và d2. Kí hiệu α = (d1; d2)
Khi đó ta có:

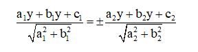
4. Phương trình phân giác của góc tạo bởi hai đường thẳng d1 và d2
Cho hai đường thẳng d1: ax + by + c1 = 0 và d2: ax + by + c2 = 0
Phương trình phân giác của góc tạo bởi hai đường thẳng d1 và d2 là

(góc nhọn lấy dấu -, góc tù lấy dấu +)
5. Khoảng cách
+ Khoảng cách từ điểm M0(x0; y0) đến đường thẳng (Δ): ax + by + c = 0
d(M, Δ) = |ax0 + by0 + c|/√a2 + b2
+ Khoảng cách giữa hai đường thẳng song song d1: ax + by + c1 = 0 và d2: ax + by + c2 = 0 là
d(d1; d2) =|c1 - c2|/√a2 + b2
6. Phương trình đường tròn
+ Dạng 1:
Phương trình đường tròn tâm I(a; b), bán kính R có dạng
(x - a)2 + (y - b)2 = R2
+ Dạng 2:
Phương trình có dạng: x2 + y2 - 2ax - 2by + c = 0 với a2 + b2 - c > 0 là phương trình đường tròn tâm I(a, b) và bán kính R = √a2 + b2 - c2 .
7. Phương trình tiếp tuyến của đường tròn
Phương trình tiếp tuyến tại điểm M(x0; y0) của đường tròn tâm I(a; b) có dạng
(x0 - a)(x - x0) + (y0 - b)(y - y0) = 0
8. Elip
a) Hình dạng của elip

+ F1, F2 là hai tiêu điểm
+ F1F2 = 2c là tiêu của của Elip
+ Trục đối xứng Ox, Oy
+ Tâm đối xứng O
+ Tọa độ các đỉnh A1(–a; 0), A2(a; 0), B1(0; –b), B2(0; b).
+ Độ dài trục lớn A1A2 = 2a. Độ dài trục bé B1B2 = 2b.
+ Tiêu điểm F1(-c; 0), F2(c; 0)
b) Phương trình chính tắc của elip (E) có dạng: x2/a2 + y2/b2 = 1 với b2 = a2 - c2
9. Hypebol

a) Phương trình chính tắc của hypebol
Với F1(-c; 0), F2(c; 0)
M(x; y) ∈ (H) ⇔ x2/a2 - y2/b2 = 1 với b2 = c2 - a2 là phương trình chính tắc của hypebol.
b) Tính chất
+ Tiêu điểm: Tiêu điểm trái F1(-c; 0), tiêu điểm phải F2(c; 0)
+ Các đỉnh: A1(-a; 0), A2(a; 0)
+ Trục Ox gọi là trục thực, trục Oy gọi là trục ảo của hypebol.
Độ dài trục thực 2a
Độ dài trục ảo 2b
+ Hypebol có hai nhánh:
- Nhánh phải ứng với x ≥ a
- Nhánh trái ứng với x ≤ -a
+ Hypebol có hai đường tiệm cận, có phương trình y = ± (b/a)x
+ Tâm sai: e = c/a > 1.
10. Parabol

a) Phương trình chính tắc của parabol
Parabol (P) có tiêu điểm F(P/2; 0 ) (với p = d(F; Δ) được gọi là tham số tiêu) và các đường chuẩn là Δ : x = - P/2 (p > 0)
M(x; y) ∈ (P) ⇔ Y2 = 2px (*)
(*) được gọi phương trình chính tắc của parabol (P).
b) Tính chất
+ Tiêu điểm F(P/2; 0)
+ Phương trình đường chuẩn Δ : x = -P/2
+ Gốc tọa độ O được gọi đỉnh của parabol
+ Ox là trục đối xứng.
Bộ các đề thi để luyện tập
Tiếp theo Admin sẽ gửi đến các bạn bộ tuyển tập đề thi để các em có thể luyện tập tại nhà.
Tải ngay tại đây!
Toán lớp 10 có thể coi là khá khó, nhưng độ khó tùy thuộc vào trình độ của mỗi học sinh và cách học tập của mỗi bạn. Nếu học sinh có cơ bản rõ ràng về các nội dung toán học và áp dụng chúng để giải các bài tập, toán lớp 10 sẽ trở nên dễ hơn. Nếu không, toán lớp 10 có thể trở nên khó hơn.
Vậy nên, các em hãy nhớ phải lập đề cương để ôn tập và luyện làm đề theo phương pháp đúng đắn.














![Top 15 trường THPT tư thục tốt nhất TPHCM [Cập nhật mới 2023]](https://static.fqa.vn/fqa/sgk/top_truong_thpt_tu_thuc_tot_nhat_tphcm_be9958a086.jpg)



