07/05/2024


07/05/2024
07/05/2024

$\displaystyle \begin{array}{{>{\displaystyle}l}}
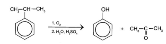
n_{CH_{3} COCH_{3}} =\frac{87}{58} =1,5mol\rightarrow n_{cumene} =1,5mol\\
\rightarrow m_{cumene\ pu} =\frac{1,5.120.100}{80} =225g
\end{array}$
→ C
07/05/2024
Nếu bạn muốn hỏi bài tập
Các câu hỏi của bạn luôn được giải đáp dưới 10 phút
CÂU HỎI LIÊN QUAN
05/12/2025
Top thành viên trả lời