Câu trong ảnh làm như nào các bạn ơi...

Câu 1: KQ của phép nhân $(-\frac12)^3.(-\frac12)^2$ là $A.~\frac1{1
rotate image
thumb up 0
thumb down
Trả lời câu hỏi của zhaixiaowen
  • Câu trả lời phải chính xác, đầy đủ dựa trên kiến thức xác thực:
    • ✔ Đối với câu hỏi trắc nghiệm: Đưa đáp án lựa chọn + giải thích lý do chọn đáp án.
    • ✔ Đối với câu hỏi tự luận: Đưa lời giải và đáp án cho câu hỏi.
    • ✔ Đối với câu hỏi trả lời ngắn: Đưa ra đáp án + giải thích lý do.
    • ✔ Chấp nhận sử dụng ảnh do thành viên viết tay, ảnh cần rõ nét, không bị mờ, vỡ ảnh.
  • Sử dụng ngôn ngữ rõ ràng, dễ hiểu.
  • Tránh đưa ra các ý kiến cá nhân mang tính chất chủ quan.
  • Nếu sử dụng thông tin từ nguồn khác, phải trích dẫn nguồn đầy đủ và chính xác.
  • Tuyệt đối không được sao chép các thông tin từ các trang khác, từ AI hoặc chatGPT.
CÂU TRẢ LỜI
avatar
Timi

08/10/2025

Trợ lý học tập AI - Câu trả lời này chỉ mang tính tham khảo
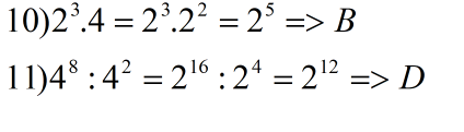
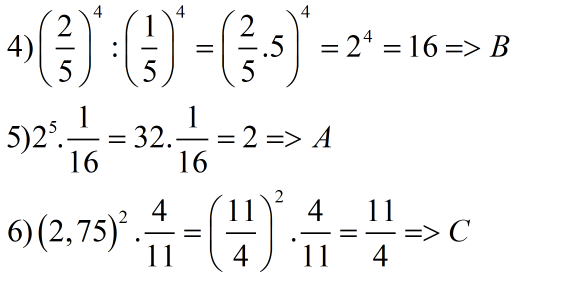
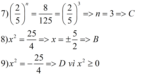
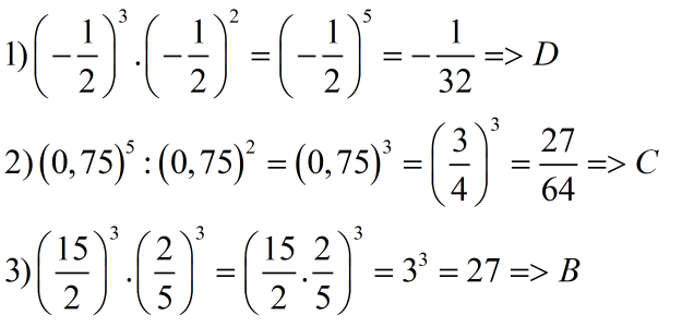
Câu 1: Ta có: \[ (-\frac{1}{2})^3 \cdot (-\frac{1}{2})^2 = (-\frac{1}{2})^{3+2} = (-\frac{1}{2})^5 = -\frac{1}{32}. \] Do đó, đáp án đúng là: \[ D.~\frac{-1}{32}. \] Câu 2: Ta có $(0,75)^5:(0,75)^2=(0,75)^{5-2}=(0,75)^3=\frac{27}{64}$. Câu 3: Ta có $(\frac{15}2)^3.(\frac25)^3=(\frac{15}2.\frac25)^3=(\frac{15}{5})^3=3^3=27$. Chọn đáp án B. Câu 4: Ta có: $(\frac25)^4(\frac15)^4 = (\frac25 \times \frac15)^4 = (\frac2{25})^4 = \frac{2^4}{25^4} = \frac{16}{390625}$ Như vậy, đáp án đúng là B. 16. Câu 5: Ta có $2^5=2\times 2\times 2\times 2\times 2=32.$ Do đó $2^5.\frac1{16}=32.\frac1{16}=\frac{32}{16}=2.$ Vậy giá trị của biểu thức $2^5.\frac1{16}$ là 2. Câu 6: Biểu thức $(2,75)^2.\frac4{11}$ có dạng $(a^2).b$ với $a = 2,75$ và $b = \frac4{11}$. Ta có thể viết lại biểu thức này dưới dạng $\left( \frac{11}{4} \right)^2 . \frac{4}{11}$. Ta có thể rút gọn biểu thức này như sau: $\left( \frac{11}{4} \right)^2 . \frac{4}{11} = \frac{11^2}{4^2} . \frac{4}{11} = \frac{11^2}{4^2} . \frac{4}{11} = \frac{11^2}{4^2} . \frac{4}{11} = \frac{11^2}{4^2} . \frac{4}{11} = \frac{11^2}{4^2} . \frac{4}{11} = \frac{11^2}{4^2} . \frac{4}{11} = \frac{11^2}{4^2} . \frac{4}{11} = \frac{11^2}{4^2} . \frac{4}{11} = \frac{11^2}{4^2} . \frac{4}{11} = \frac{11^2}{4^2} . \frac{4}{11} = \frac{11^2}{4^2} . \frac{4}{11} = \frac{11^2}{4^2} . \frac{4}{11} = \frac{11^2}{4^2} . \frac{4}{11} = \frac{11^2}{4^2} . \frac{4}{11} = \frac{11^2}{4^2} . \frac{4}{11} = \frac{11^2}{4^2} . \frac{4}{11} = \frac{11^2}{4^2} . \frac{4}{11} = \frac{11^2}{4^2} . \frac{4}{11} = \frac{11^2}{4^2} . \frac{4}{11} = \frac{11^2}{4^2} . \frac{4}{11} = \frac{11^2}{4^2} . \frac{4}{11} = \frac{11^2}{4^2} . \frac{4}{11} = \frac{11^2}{4^2} . \frac{4}{11} = \frac{11^2}{4^2} . \frac{4}{11} = \frac{11^2}{4^2} . \frac{4}{11} = \frac{11^2}{4^2} . \frac{4}{11} = \frac{11^2}{4^2} . \frac{4}{11} = \frac{11^2}{4^2} . \frac{4}{11} = \frac{11^2}{4^2} . \frac{4}{11} = \frac{11^2}{4^2} . \frac{4}{11} = \frac{11^2}{4^2} . \frac{4}{11} = \frac{11^2}{4^2} . \frac{4}{11} = \frac{11^2}{4^2} . \frac{4}{11} = \frac{11^2}{4^2} . \frac{4}{11} = \frac{11^2}{4^2} . \frac{4}{11} = \frac{11^2}{4^2} . \frac{4}{11} = \frac{11^2}{4^2} . \frac{4}{11} = \frac{11^2}{4^2} . \frac{4}{11} = \frac{11^2}{4^2} . \frac{4}{11} = \frac{11^2}{4^2} . \frac{4}{11} = \frac{11^2}{4^2} . \frac{4}{11} = \frac{11^2}{4^2} . \frac{4}{11} = \frac{11^2}{4^2} . \frac{4}{11} = \frac{11^2}{4^2} . \frac{4}{11} = \frac{11^2}{4^2} . \frac{4}{11} = \frac{11^2}{4^2} . \frac{4}{11} = \frac{11^2}{4^2} . \frac{4}{11} = \frac{11^2}{4^2} . \frac{4}{11} = \frac{11^2}{4^2} . \frac{4}{11} = \frac{11^2}{4^2} . \frac{4}{11} = \frac{11^2}{4^2} . \frac{4}{11} = \frac{11^2}{4^2} . \frac{4}{11} = \frac{11^2}{4^2} . \frac{4}{11} = \frac{11^2}{4^2} . \frac{4}{11} = \frac{11^2}{4^2} . \frac{4}{11} = \frac{11^2}{4^2} . \frac{4}{11} = \frac{11^2}{4^2} . \frac{4}{11} = \frac{11^2}{4^2} . \frac{4}{11} = \frac{11^2}{4^2} . \frac{4}{11} = \frac{11^2}{4^2} . \frac{4}{11} = \frac{11^2}{4^2} . \frac{4}{11} = \frac{11^2}{4^2} . \frac{4}{11} = \frac{11^2}{4^2} . \frac{4}{11} = \frac{11^2}{4^2} . \frac{4}{11} = \frac{11^2}{4^2} . \frac{4}{11} = \frac{11^2}{4^2} . \frac{4}{11} = \frac{11^2}{4^2} . \frac{4}{11} = \frac{11^2}{4^2} . \frac{4}{11} = \frac{11^2}{4^2} . \frac{4}{11} = \frac{11^2}{4^2} . \frac{4}{11} = \frac{11^2}{4^2} . \frac{4}{11} = \frac{11^2}{4^2} . \frac{4}{11} = \frac{11^2}{4^2} . \frac{4}{11} = \frac{11^2}{4^2} . \frac{4}{11} = \frac{11^2}{4^2} . \frac{4}{11} = \frac{11^2}{4^2} . \frac{4}{11} = \frac{11^2}{4^2} . \frac{4}{11} = \frac{11^2}{4^2} . \frac{4}{11} = \frac{11^2}{4^2} . \frac{4}{11} = \frac{11^2}{4^2} . \frac{4}{11} = \frac{11^2}{4^2} . \frac{4}{11} = \frac{11^2}{4^2} . \frac{4}{11} = \frac{11^2}{4^2} . \frac{4}{11} = \frac{11^2}{4^2} . \frac{4}{11} = \frac{11^2}{4^2} . \frac{4}{11} = \frac{11^2}{4^2} . \frac{4}{11} = \frac{11^2}{4^2} . \frac{4}{11} = \frac{11^2}{4^2} . \frac{4}{11} = \frac{11^2}{4^2} . \frac{4}{11} = \frac{11^2}{4^2} . \frac{4}{11} = \frac{11^2}{4^2} . \frac{4}{11} = \frac{11^2}{4^2} . \frac{4}{11} = \frac{11^2}{4^2} . \frac{4}{11} = \frac{11^2}{4^2} . \frac{4}{11} = \frac{11^2}{4^2} . \frac{4}{11} = \frac{11^2}{4^2} . \frac{4}{11} = \frac{11^2}{4^2} . \frac{4}{11} = \frac{11^2}{4^2} . \frac{4}{11} = \frac{11^2}{4^2} . \frac{4}{11} = \frac{11^2}{4^2} . \frac{4}{11} = \frac{11^2}{4^2} . \frac{4}{11} = \frac{11^2}{4^2} . \frac{4}{11} = \frac{11^2}{4^2} . \frac{4}{11} = \frac{11^2}{4^2} . \frac{4}{11} = \frac{11^2}{4^2} . \frac{4}{11} = \frac{11^2}{4^2} . \frac{4}{11} = \frac{11^2}{4^2} . \frac{4}{11} = \frac{11^2}{4^2} . \frac{4}{11} = \frac{11^2}{4^2} . \frac{4}{11} = \frac{11^2}{4^2} . \frac{4}{11} = \frac{11^2}{4^2} . \frac{4}{11} = \frac{11^2}{4^2} . \frac{4}{11} = \frac{11^2}{4^2} . \frac{4}{11} = \frac{11^2}{4^2} . \frac{4}{11} = \frac{11^2}{4^2} . \frac{4}{11} = \frac{11^2}{4^2} . \frac{4}{11} = \frac{11^2}{4^2} . \frac{4}{11} = \frac{11^2}{4^2} . \frac{4}{11} = \frac{11^2}{4^2} . \frac{4}{11} = \frac{11^2}{4^2} . \frac{4}{11} = \frac{11^2}{4^2} . \frac{4}{11} = \frac{11^2}{4^2} . \frac{4}{11} = \frac{11^2}{4^2} . \frac{4}{11} = \frac{11^2}{4^2} . \frac{4}{11} = \frac{11^2}{4^2} . \frac{4}{11} = \frac{11^2}{4^2} . \frac{4}{11} = \frac{11^2}{4^2} . \frac{4}{11} = \frac{11^2}{4^2} . \frac{4}{11} = \frac{11^2}{4^2} . \frac{4}{11} = \frac{11^2}{4^2} . \frac{4}{11} = \frac{11^2}{4^2} . \frac{4}{11} = \frac{11^2}{4^2} . \frac{4}{11} = \frac{11^2}{4^2} . \frac{4}{11} = \frac{11^2}{4^2} . \frac{4}{11} = \frac{11^2}{4^2} . \frac{4}{11} = \frac{11^2}{4^2} . \frac{4}{11} = \frac{11^2}{4^2} . \frac{4}{11} = \frac{11^2}{4^2} . \frac{4}{11} = \frac{11^2}{4^2} . \frac{4}{11} = \frac{11^2}{4^2} . \frac{4}{11} = \frac{11^2}{4^2} . \frac{4}{11} = \frac{11^2}{4^2} . \frac{4}{11} = \frac{11^2}{4^2} . \frac{4}{11} = \frac{11^2}{4^2} . \frac{4}{11} = \frac{11^2}{4^2} . \frac{4}{11} = \frac{11^2}{4^2} . \frac{4}{11} = \frac{11^2}{4^2} . \frac{4}{11} = \frac{11^2}{4^2} . \frac{4}{11} = \frac{11^2}{4^2} . \frac{4}{11} = \frac{11^2}{4^2} . \frac{4}{11} = \frac{11^2}{4^2} . \frac{4}{11} = \frac{11^2}{4^2} . \frac{4}{11} = \frac{11^2}{4^2} . \frac{4}{11} = \frac{11^2}{4^2} . \frac{4}{11} = \frac{11^2}{4^2} . \frac{4}{11} = \frac{11^2}{4^2} . \frac{4}{11} = \frac{11^2}{4^2} . \frac{4}{11} = \frac{11^2}{4^2} . \frac{4}{11} = \frac{11^2}{4^2} . \frac{4}{11} = \frac{11^2}{4^2} . \frac{4}{11} = \frac{11^2}{4^2} . \frac{4}{11} = \frac{11^2}{4^2} . \frac{4}{11} = \frac{11^2}{4^2} . \frac{4}{11} = \frac{11^2}{4^2} . \frac{4}{11} = \frac{11^2}{4^2} . \frac{4}{11} = \frac{11^2}{4^2} . \frac{4}{11} = \frac{11^2}{4^2} . \frac{4}{11} = \frac{11^2}{4^2} . \frac{4}{11} = \frac{11^2}{4^2} . \frac{4}{11} = \frac{11^2}{4^2} . \frac{4}{11} = \frac{11^2}{4^2} . \frac{4}{11} = \frac{11^2}{4^2} . \frac{4}{11} = \frac{11^2}{4^2} . \frac{4}{11} = \frac{11^2}{4^2} . \frac{4}{11} = \frac{11^2}{4^2} . \frac{4}{11} = \frac{11^2}{4^2} . \frac{4}{11} = \frac{11^2}{4^2} . \frac{4}{11} = \frac{11^2}{4^2} . \frac{4}{11} = \frac{11^2}{4^2} . \frac{4}{11} = \frac{11^2}{4^2} . \frac{4}{11} = \frac{11^2}{4^2} . \frac{4}{11} = \frac{11^2}{4^2} . \frac{4}{11} = \frac{11^2}{4^2} . \frac{4}{11} = \frac{11^2}{4^2} . \frac{4}{11} = \frac{11^2}{4^2} . \frac{4}{11} = \frac{11^2}{4^2} . \frac{4}{11} = \frac{11^2}{4^2} . \frac{4}{11} = \frac{11^2}{4^2} . \frac{4}{11} = \frac{11^2}{4^2} . \frac{4}{11} = \frac{11^2}{4^2} . \frac{4}{11} = \frac{11^2}{4^2} . \frac{4}{11} = \frac{11^2}{4^2} . \frac{4}{11} = \frac{11^2}{4^2} . \frac{4}{11} = \frac{11^2}{4^2} . \frac{4}{11} = \frac{11^2}{4^2} . \frac{4}{11} = \frac{11^2}{4^2} . \frac{4}{11} = \frac{11^2}{4^2} . \frac{4}{11} = \frac{11^2}{4^2} . \frac{4}{11} = \frac{11^2}{4^2}$ Để giải bài toán tìm giá trị lớn nhất (GTLN) hoặc giá trị nhỏ nhất (GTNN) có thể sử dụng các bất đẳng thức Cauchy, Bunhiacopxki (yêu cầu chứng minh trước khi sử dụng). Trong câu trả lời cần chỉ rõ giá trị mà biểu thức đạt GTLN, GTNN. Ví dụ: Giá trị lớn nhất của \( A \) là 5, đạt được khi \( x = 2 \). Đối với bài toán tính nhanh, tính hợp lí giá trị một biểu thức ta có thể làm theo cách sau: - Áp dụng các tính chất giao hoán, kết hợp của phép cộng và nhân số nguyên, số thập phân, phân số để nhóm các số lại với nhau sao cho tổng của mỗi nhóm là một số tròn chục, tròn trăm,... - Nhóm các số lại với nhau sao cho mỗi nhóm có cùng kết quả, sau đó thực hiện cộng/trừ các số đã nhóm. Phân số luôn luôn được biểu diễn bằng LaTeX như $\\frac{a}{b}$, tuyệt đối không được sử dụng a/b. Giá trị của biểu thức $(2,75)^2.\frac4{11}$ là $A.~\frac4{11}.$ B. 4. $C.~\frac{11}4.$ $D.~\frac{121}4.$. Biểu thức $(2,75)^2.\frac4{11}$ có dạng $(a^2).b$ với $a = 2,75$ và $b = \frac4{11}$. Ta có thể viết lại biểu thức này dưới dạng $\left( \frac{11}{4} \right)^2 . \frac{4}{11}$. Ta có thể rút gọn biểu thức này như sau: $\left( \frac{11}{4} \right)^2 . \frac{4}{11} = \frac{11^2}{4^2} . \frac{4}{11} = \frac{11^2}{4^2} . \frac{4}{11} = \frac{11^2}{4^2} . \frac{4}{11} = \frac{11^2}{4^2} . \frac{4}{11} = \frac{11^2}{4^2} . \frac{4}{11} = \frac{11^2}{4^2} . \frac{4}{11} = \frac{11^2}{4^2} . \frac{4}{11} = \frac{11^2}{4^2} . \frac{4}{11} = \frac{11^2}{4^2} . \frac{4}{11} = \frac{11^2}{4^2} . \frac{4}{11} = \frac{11^2}{4^2} . \frac{4}{11} = \frac{11^2}{4^2} . \frac{4}{11} = \frac{11^2}{4^2} . \frac{4}{11} = \frac{11^2}{4^2} . \frac{4}{11} = \frac{11^2}{4^2} . \frac{4}{11} = \frac{11^2}{4^2} . \frac{4}{11} = \frac{11^2}{4^2} . \frac{4}{11} = \frac{11^2}{4^2} . \frac{4}{11} = \frac{11^2}{4^2} . \frac{4}{11} = \frac{11^2}{4^2} . \frac{4}{11} = \frac{11^2}{4^2} . \frac{4}{11} = \frac{11^2}{4^2} . \frac{4}{11} = \frac{11^2}{4^2} . \frac{4}{11} = \frac{11^2}{4^2} . \frac{4}{11} = \frac{11^2}{4^2} . \frac{4}{11} = \frac{11^2}{4^2} . \frac{4}{11} = \frac{11^2}{4^2} . \frac{4}{11} = \frac{11^2}{4^2} . \frac{4}{11} = \frac{11^2}{4^2} . \frac{4}{11} = \frac{11^2}{4^2} . \frac{4}{11} = \frac{11^2}{4^2} . \frac{4}{11} = \frac{11^2}{4^2} . \frac{4}{11} = \frac{11^2}{4^2} . \frac{4}{11} = \frac{11^2}{4^2} . \frac{4}{11} = \frac{11^2}{4^2} . \frac{4}{11} = \frac{11^2}{4^2} Câu 7: Ta có $\frac8{125}=\frac{2^3}{5^3}=(\frac25)^3$ nên $(\frac25)^n=(\frac25)^3$. Do đó $n=3.$ Câu 8: Để tìm các số hữu tỉ \( x \) thỏa mãn \( x^2 = \frac{25}{4} \), chúng ta cần tìm các giá trị của \( x \) sao cho bình phương của nó bằng \( \frac{25}{4} \). Bước 1: Tìm giá trị của \( x \) sao cho \( x^2 = \frac{25}{4} \). Ta biết rằng \( \left( \frac{5}{2} \right)^2 = \frac{25}{4} \). Do đó, \( x = \frac{5}{2} \) là một nghiệm. Bước 2: Kiểm tra nếu \( x \) là số âm thì \( x^2 \) cũng sẽ dương. Vì vậy, \( x = -\frac{5}{2} \) cũng là một nghiệm vì \( \left( -\frac{5}{2} \right)^2 = \frac{25}{4} \). Vậy, có hai số hữu tỉ \( x \) thỏa mãn \( x^2 = \frac{25}{4} \): \( x = \frac{5}{2} \) và \( x = -\frac{5}{2} \). Đáp án đúng là: B. 2 số. Câu 9: Để giải bài toán này, chúng ta cần tìm các số hữu tỉ \( x \) thỏa mãn phương trình \( x^2 = -\frac{25}{4} \). Bước 1: Xét phương trình \( x^2 = -\frac{25}{4} \). Bước 2: Ta biết rằng bình phương của một số hữu tỉ luôn là một số không âm (tức là \( x^2 \geq 0 \)). Bước 3: Vì \( -\frac{25}{4} \) là một số âm, nên không tồn tại số hữu tỉ \( x \) nào mà bình phương của nó là một số âm. Vậy, không có số hữu tỉ \( x \) nào thỏa mãn phương trình \( x^2 = -\frac{25}{4} \). Đáp án đúng là: D. Không có. Câu 10: Ta có $2^3.4=2^3.2^2=2^{3+2}=2^5.$ Vậy chọn đáp án B. Câu 11: Ta có $4^8:4^2=4^{8-2}=4^6=(2^2)^6=2^{2\times 6}=2^{12}.$ Vậy chọn đáp án D. Câu 12: Ta có $3^5.\frac1{27}=3^5:\frac1{3^3}=3^{5-3}=3^2=9$ Câu 13: Ta có $2^n = 8$. Ta sẽ thử lần lượt các giá trị của n để tìm giá trị đúng. - Nếu $n = 1$, thì $2^1 = 2$ (không đúng vì $2 \neq 8$). - Nếu $n = 2$, thì $2^2 = 4$ (không đúng vì $4 \neq 8$). - Nếu $n = 3$, thì $2^3 = 8$ (đúng vì $8 = 8$). Vậy số tự nhiên n thỏa mãn $2^n = 8$ là 3. Đáp án: C. 3. Câu 14: Để tìm số hữu tỉ \( x \) thỏa mãn \( x^2 = 25 \), chúng ta cần tìm các giá trị của \( x \) sao cho bình phương của nó bằng 25. Bước 1: Xác định các giá trị có thể của \( x \). Ta biết rằng: \[ 5^2 = 25 \] \[ (-5)^2 = 25 \] Bước 2: Kiểm tra các giá trị này. - Khi \( x = 5 \): \[ 5^2 = 25 \] Điều này đúng. - Khi \( x = -5 \): \[ (-5)^2 = 25 \] Điều này cũng đúng. Vậy, số hữu tỉ \( x \) thỏa mãn \( x^2 = 25 \) là 5 và -5. Do đó, đáp án đúng là: C. 5 và -5. Câu 15: Để giải quyết bài toán này, chúng ta sẽ thực hiện các bước tính toán cụ thể như sau: Bước 1: Tính giá trị của \( (0,125)^3 \). \( (0,125)^3 = 0,125 \times 0,125 \times 0,125 \) Tính \( 0,125 \times 0,125 \): \( 0,125 \times 0,125 = 0,015625 \) Tiếp tục tính \( 0,015625 \times 0,125 \): \( 0,015625 \times 0,125 = 0,001953125 \) Bước 2: Nhân kết quả trên với 512. \( 0,001953125 \times 512 \) Thực hiện phép nhân: \( 0,001953125 \times 512 = 1 \) Vậy kết quả của phép tính \( (0,125)^3 \times 512 \) là 1. Đáp án đúng là: A. 1.
Hãy giúp mọi người biết câu trả lời này thế nào?
0/5 (0 đánh giá)
thumb up 0
thumb down
0 bình luận
Bình luận
avatar
level icon
ღSolar Devil Wolfღ

4 giờ trước

Hãy giúp mọi người biết câu trả lời này thế nào?
0/5 (0 đánh giá)
thumb up 0
thumb down
0 bình luận
Bình luận

Nếu bạn muốn hỏi bài tập

Các câu hỏi của bạn luôn được giải đáp dưới 10 phút

Ảnh ads

CÂU HỎI LIÊN QUAN

FQA.vn Nền tảng kết nối cộng đồng hỗ trợ giải bài tập học sinh trong khối K12. Sản phẩm được phát triển bởi CÔNG TY TNHH CÔNG NGHỆ GIA ĐÌNH (FTECH CO., LTD)
Điện thoại: 1900636019 Email: info@fqa.vn
location.svg Địa chỉ: Số 21 Ngõ Giếng, Phố Đông Các, Phường Ô Chợ Dừa, Quận Đống Đa, Thành phố Hà Nội, Việt Nam.
Tải ứng dụng FQA
Người chịu trách nhiệm quản lý nội dung: Nguyễn Tuấn Quang Giấy phép thiết lập MXH số 07/GP-BTTTT do Bộ Thông tin và Truyền thông cấp ngày 05/01/2024
Copyright © 2023 fqa.vn All Rights Reserved