Hai người khiêng một vật có khối lượng 100 kgbằng một đòn nhẹ, có chiều dài 2m Điểm treo của vật cách vai người thứ nhất 120cm Lực tác dụng lên vai người thứ nhất là

thumb up 0
thumb down
Trả lời câu hỏi của Quân Hoàng
  • Câu trả lời phải chính xác, đầy đủ dựa trên kiến thức xác thực:
    • ✔ Đối với câu hỏi trắc nghiệm: Đưa đáp án lựa chọn + giải thích lý do chọn đáp án.
    • ✔ Đối với câu hỏi tự luận: Đưa lời giải và đáp án cho câu hỏi.
    • ✔ Đối với câu hỏi trả lời ngắn: Đưa ra đáp án + giải thích lý do.
    • ✔ Chấp nhận sử dụng ảnh do thành viên viết tay, ảnh cần rõ nét, không bị mờ, vỡ ảnh.
  • Sử dụng ngôn ngữ rõ ràng, dễ hiểu.
  • Tránh đưa ra các ý kiến cá nhân mang tính chất chủ quan.
  • Nếu sử dụng thông tin từ nguồn khác, phải trích dẫn nguồn đầy đủ và chính xác.
  • Tuyệt đối không được sao chép các thông tin từ các trang khác, từ AI hoặc chatGPT.
CÂU TRẢ LỜI
avatar
Timi

03/01/2025

Trợ lý học tập AI - Câu trả lời này chỉ mang tính tham khảo
Để giải bài toán này, chúng ta sẽ sử dụng nguyên lý cân bằng mô men. 1. **Xác định các thông số:** - Khối lượng của vật: \( m = 100 \, \text{kg} \) - Chiều dài của đòn: \( L = 2 \, \text{m} \) - Khoảng cách từ vai người thứ nhất đến điểm treo: \( d_1 = 1.2 \, \text{m} \) - Khoảng cách từ vai người thứ hai đến điểm treo: \( d_2 = L - d_1 = 2 - 1.2 = 0.8 \, \text{m} \) 2. **Tính trọng lực của vật:** \[ F_g = m \cdot g = 100 \, \text{kg} \cdot 9.81 \, \text{m/s}^2 = 981 \, \text{N} \] 3. **Áp dụng nguyên lý cân bằng mô men:** - Gọi lực tác dụng lên vai người thứ nhất là \( F_1 \) và lực tác dụng lên vai người thứ hai là \( F_2 \). - Theo nguyên lý cân bằng mô men, ta có: \[ F_g \cdot d_1 = F_2 \cdot d_2 \] 4. **Tính lực \( F_2 \):** - Ta có thể viết lại phương trình: \[ 981 \, \text{N} \cdot 1.2 \, \text{m} = F_2 \cdot 0.8 \, \text{m} \] \[ F_2 = \frac{981 \cdot 1.2}{0.8} = \frac{1177.2}{0.8} = 1464 \, \text{N} \] 5. **Tính lực \( F_1 \):** - Tổng lực tác dụng lên hai vai phải bằng trọng lực của vật: \[ F_1 + F_2 = F_g \] \[ F_1 + 1464 = 981 \] \[ F_1 = 981 - 1464 = -483 \, \text{N} \] Kết quả cho thấy lực tác dụng lên vai người thứ nhất là âm, điều này có nghĩa là người thứ nhất không phải chịu lực mà thực tế là người thứ hai đang chịu toàn bộ trọng lực của vật. **Kết luận:** Lực tác dụng lên vai người thứ nhất là \( 0 \, \text{N} \) (người thứ nhất không chịu lực).
Hãy giúp mọi người biết câu trả lời này thế nào?
0/5 (0 đánh giá)
thumb up 0
thumb down
0 bình luận
Bình luận
avatar
level icon
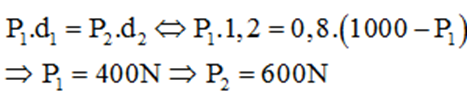
Phạm Khánh

03/01/2025

Hãy giúp mọi người biết câu trả lời này thế nào?
0/5 (0 đánh giá)
thumb up 0
thumb down
0 bình luận
Bình luận

Nếu bạn muốn hỏi bài tập

Các câu hỏi của bạn luôn được giải đáp dưới 10 phút

Ảnh ads

CÂU HỎI LIÊN QUAN

FQA.vn Nền tảng kết nối cộng đồng hỗ trợ giải bài tập học sinh trong khối K12. Sản phẩm được phát triển bởi CÔNG TY TNHH CÔNG NGHỆ GIA ĐÌNH (FTECH CO., LTD)
Điện thoại: 1900636019 Email: info@fqa.vn
location.svg Địa chỉ: Số 21 Ngõ Giếng, Phố Đông Các, Phường Đống Đa, Thành phố Hà Nội, Việt Nam.
Tải ứng dụng FQA
Người chịu trách nhiệm quản lý nội dung: Đào Trường Giang Giấy phép thiết lập MXH số 07/GP-BTTTT do Bộ Thông tin và Truyền thông cấp ngày 05/01/2024
Copyright © 2023 fqa.vn All Rights Reserved