24/10/2025

24/10/2025
7 giờ trước

24/10/2025
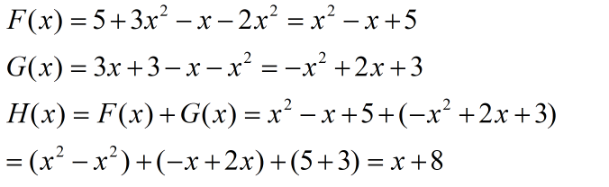
a)
$f\left(x\right)=5+3x^2-x-2x^2$
$=\left(3x^2-2x^2\right)-x+5$
$=x^2-x+5$
$g\left(x\right)=3x+3-x-x^2$
$=-x^2+\left(3x-x\right)+3$
$=-x^2+2x+3$
b)
$h\left(x\right)=f\left(x\right)+g\left(x\right)$
$=\left(x^2-x+5\right)+\left(-x^2+2x+3\right)$
$=\left(x^2-x^2\right)+\left(-x+2x\right)+\left(5+3\right)$
$=x+8$.
ng tih new.
24/10/2025
Ninh Hoàng c.ơn
Nếu bạn muốn hỏi bài tập
Các câu hỏi của bạn luôn được giải đáp dưới 10 phút
CÂU HỎI LIÊN QUAN
4 giờ trước
Top thành viên trả lời