26/11/2025


26/11/2025
27/11/2025

26/11/2025
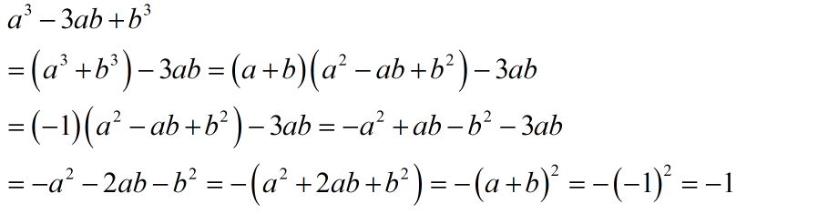
Ta có:
$(a + b)^3 = a^3 + 3a^2b + 3ab^2 + b^3$
$(a + b)^3 = a^3 + b^3 + 3ab(a + b)$
Từ đó, ta có thể biểu diễn $a^3 + b^3$ theo $(a+b)$ và $ab$:
$a^3 + b^3 = (a + b)^3 - 3ab(a + b)$
$A = (a^3 + b^3) - 3ab$
$A = \left[ (a + b)^3 - 3ab(a + b) \right] - 3ab$
Theo đề bài, ta có $\mathbf{a + b = -1}$. Thay giá trị này vào biểu thức $A$:
$A = \left[ (-1)^3 - 3ab(-1) \right] - 3ab$
$A = \left[ -1 + 3ab \right] - 3ab$
$A = -1 + 3ab - 3ab$
$A = \mathbf{-1}$
Nếu bạn muốn hỏi bài tập
Các câu hỏi của bạn luôn được giải đáp dưới 10 phút
CÂU HỎI LIÊN QUAN
Top thành viên trả lời