câu hỏi tự luận

thẳng $S_1S_2.$ 2. Trong một thí nghiệm Young về giao thoa ánh sáng với
rotate image
thumb up 0
thumb down
Trả lời câu hỏi của Nguyen Anh Thư
  • Câu trả lời phải chính xác, đầy đủ dựa trên kiến thức xác thực:
    • ✔ Đối với câu hỏi trắc nghiệm: Đưa đáp án lựa chọn + giải thích lý do chọn đáp án.
    • ✔ Đối với câu hỏi tự luận: Đưa lời giải và đáp án cho câu hỏi.
    • ✔ Đối với câu hỏi trả lời ngắn: Đưa ra đáp án + giải thích lý do.
    • ✔ Chấp nhận sử dụng ảnh do thành viên viết tay, ảnh cần rõ nét, không bị mờ, vỡ ảnh.
  • Sử dụng ngôn ngữ rõ ràng, dễ hiểu.
  • Tránh đưa ra các ý kiến cá nhân mang tính chất chủ quan.
  • Nếu sử dụng thông tin từ nguồn khác, phải trích dẫn nguồn đầy đủ và chính xác.
  • Tuyệt đối không được sao chép các thông tin từ các trang khác, từ AI hoặc chatGPT.
CÂU TRẢ LỜI
avatar
Timi

09/12/2025

Trợ lý học tập AI - Câu trả lời này chỉ mang tính tham khảo
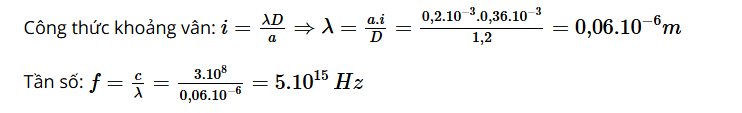
Cho bài toán thí nghiệm Young với các dữ liệu: - Khoảng cách giữa hai khe: \( a = 0{,}2~mm = 0{,}2 \times 10^{-3}~m \) - Khoảng cách từ hai khe đến màn quan sát: \( D = 1{,}2~m \) - Bước vân: \( i = 3{,}6~mm = 3{,}6 \times 10^{-3}~m \) **Yêu cầu:** Tính bước sóng \(\lambda\) của ánh sáng và tần số \(f\) của bức xạ. --- ### Lời giải: 1. **Công thức bước vân trong thí nghiệm Young:** \[ i = \frac{\lambda D}{a} \] Từ đó, ta có thể tính được bước sóng: \[ \lambda = \frac{i a}{D} \] 2. **Thay số vào:** \[ \lambda = \frac{3{,}6 \times 10^{-3} \times 0{,}2 \times 10^{-3}}{1{,}2} = \frac{7{,}2 \times 10^{-7}}{1{,}2} = 6 \times 10^{-7}~m = 600~nm \] 3. **Tính tần số \(f\):** Tần số ánh sáng liên hệ với bước sóng qua công thức: \[ f = \frac{c}{\lambda} \] với \( c = 3 \times 10^{8}~m/s \) (vận tốc ánh sáng trong chân không). Thay số vào: \[ f = \frac{3 \times 10^{8}}{6 \times 10^{-7}} = 5 \times 10^{14}~Hz \] --- ### Kết luận: - Bước sóng của ánh sáng trong thí nghiệm là \(\boxed{600~nm}\). - Tần số ánh sáng là \(\boxed{5 \times 10^{14}~Hz}\).
Hãy giúp mọi người biết câu trả lời này thế nào?
0/5 (0 đánh giá)
thumb up 0
thumb down
0 bình luận
Bình luận
avatar
level icon
Sarad

09/12/2025

Hãy giúp mọi người biết câu trả lời này thế nào?
0/5 (0 đánh giá)
thumb up 0
thumb down
0 bình luận
Bình luận

Nếu bạn muốn hỏi bài tập

Các câu hỏi của bạn luôn được giải đáp dưới 10 phút

Ảnh ads

CÂU HỎI LIÊN QUAN

FQA.vn Nền tảng kết nối cộng đồng hỗ trợ giải bài tập học sinh trong khối K12. Sản phẩm được phát triển bởi CÔNG TY TNHH CÔNG NGHỆ GIA ĐÌNH (FTECH CO., LTD)
Điện thoại: 1900636019 Email: info@fqa.vn
location.svg Địa chỉ: Số 21 Ngõ Giếng, Phố Đông Các, Phường Đống Đa, Thành phố Hà Nội, Việt Nam.
Tải ứng dụng FQA
Người chịu trách nhiệm quản lý nội dung: Đào Trường Giang Giấy phép thiết lập MXH số 07/GP-BTTTT do Bộ Thông tin và Truyền thông cấp ngày 05/01/2024
Copyright © 2023 fqa.vn All Rights Reserved