avatar
level icon
Khoa Nguyen

1 giờ trước

giải giúp mình

Phân III. Trăc nghiệm trả lời ngăn Câu 1. Một khối khí có thể tích 16 lít, áp s
rotate image
thumb up 0
thumb down
Trả lời câu hỏi của Khoa Nguyen
  • Câu trả lời phải chính xác, đầy đủ dựa trên kiến thức xác thực:
    • ✔ Đối với câu hỏi trắc nghiệm: Đưa đáp án lựa chọn + giải thích lý do chọn đáp án.
    • ✔ Đối với câu hỏi tự luận: Đưa lời giải và đáp án cho câu hỏi.
    • ✔ Đối với câu hỏi trả lời ngắn: Đưa ra đáp án + giải thích lý do.
    • ✔ Chấp nhận sử dụng ảnh do thành viên viết tay, ảnh cần rõ nét, không bị mờ, vỡ ảnh.
  • Sử dụng ngôn ngữ rõ ràng, dễ hiểu.
  • Tránh đưa ra các ý kiến cá nhân mang tính chất chủ quan.
  • Nếu sử dụng thông tin từ nguồn khác, phải trích dẫn nguồn đầy đủ và chính xác.
  • Tuyệt đối không được sao chép các thông tin từ các trang khác, từ AI hoặc chatGPT.
CÂU TRẢ LỜI
avatar
Timi

1 giờ trước

Trợ lý học tập AI - Câu trả lời này chỉ mang tính tham khảo
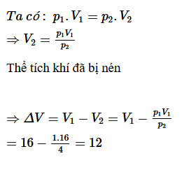
Phần III. Trắc nghiệm trả lời ngắn Câu 1. Khí được nén đẳng nhiệt, theo định luật Boyle-Mariotte: \[ p_1 V_1 = p_2 V_2 \] Cho: - \(p_1 = 1\,atm\), \(V_1 = 16\,l\), - \(p_2 = 4\,atm\), Tính \(V_2\): \[ V_2 = \frac{p_1 V_1}{p_2} = \frac{1 \times 16}{4} = 4\,l \] **Đáp án:** 4 lít. --- Câu 2. Nhiệt cân bằng: \[ Q_{\text{nóng}} + Q_{\text{lạnh}} = 0 \] Nước nóng tỏa nhiệt: \[ Q_1 = m_1 c (T_f - T_1) \] Nước lạnh thu nhiệt: \[ Q_2 = m_2 c (T_f - T_2) \] Với: - \(m_1 = 0.2\,kg\), \(T_1=80^\circ C\), - \(m_2 = 0.3\,kg\), \(T_2=10^\circ C\), - \(c=4200\,J/kg.K\), - \(T_f\) là nhiệt độ cuối cùng. Phương trình cân bằng nhiệt: \[ m_1 c (T_f - 80) + m_2 c (T_f - 10) = 0 \] \[ 0.2 \times 4200 (T_f - 80) + 0.3 \times 4200 (T_f - 10) = 0 \] \[ 840 (T_f - 80) + 1260 (T_f - 10) = 0 \] \[ 840 T_f - 67200 + 1260 T_f - 12600 = 0 \] \[ 2100 T_f = 79800 \] \[ T_f = \frac{79800}{2100} = 38^\circ C \] **Đáp án:** 38 độ C. --- Câu 3. Đẳng áp: \[ \frac{V_2 - V_1}{V_1} = 3\% = 0.03 \] Nhiệt độ tăng: \[ \Delta T = 6 K \] Đẳng áp: \(\frac{V}{T} = \text{const}\) hay \(\frac{\Delta V}{V} = \frac{\Delta T}{T_1}\) \[ 0.03 = \frac{6}{T_1} \Rightarrow T_1 = \frac{6}{0.03} = 200 K \] **Đáp án:** 200 K. --- Câu 4. Nhiệt lượng làm nóng chảy: \[ Q = m \lambda = 0.5 \times 340 = 170\,kJ \] **Đáp án:** 170 kJ. --- Câu 5. Đẳng nhiệt: \[ p_1 V_1 = p_2 V_2 \Rightarrow V_2 = \frac{p_1 V_1}{p_2} = \frac{2.0 \times 10^5 \times 1.0}{4.4 \times 10^5} = \frac{2.0}{4.4} = 0.4545\,m^3 \] **Đáp án:** khoảng 0.45 m³. --- Câu 6. Áp suất khí từ phương trình khí lí tưởng: \[ pV = nRT \] Tính số mol: \[ n = \frac{m}{M} = \frac{2.5}{4} = 0.625\,mol \] Thể tích: \[ V = 5\,l = 5 \times 10^{-3}\,m^3 \] Nhiệt độ: \[ T = 27^\circ C = 27 + 273 = 300\,K \] Áp suất: \[ p = \frac{nRT}{V} = \frac{0.625 \times 8.31 \times 300}{5 \times 10^{-3}} = \frac{1558.125}{0.005} = 311625\,Pa = 3.12 \times 10^5\,Pa \] Vậy: \[ x = 3.1 \] **Đáp án:** \(x = 3.1\). --- Câu 7. Độ biến thiên nội năng: \[ \Delta U = Q + A \] Ở đây, công nén khí \(A = -400 J\) (vì người ta thực hiện công lên khí nên khí nhận công dương), nhiệt lượng truyền ra ngoài \(Q = -140 J\) (do mất ra ngoài). Theo quy ước vật lý, công làm tăng nội năng là công người ta thực hiện trên khí, nên: \[ \Delta U = A + Q = 400 + (-140) = 260\,J \] **Đáp án:** 260 J. --- Câu 8. Đổi nhiệt độ: \[ \Delta t = 7.2 - (-20) = 27.2^\circ C \] Độ tăng nhiệt độ tính bằng K giống với °C nên: \[ \Delta T = 27.2\,K \] **Đáp án:** 27.2 K. --- Câu 9. Tính thể tích khí ôxi: Cho: - \(m=40\,g=0.04\,kg\), - \(T=360\,K\), - \(p=10\,atm=10 \times 1.013 \times 10^5 = 1.013 \times 10^6\,Pa\), - \(M = 32\,g/mol=0.032\,kg/mol\), - \(R=8.31\,J/mol.K\). Tính số mol: \[ n = \frac{m}{M} = \frac{0.04}{0.032} = 1.25\,mol \] Áp dụng phương trình khí lí tưởng: \[ V = \frac{nRT}{p} = \frac{1.25 \times 8.31 \times 360}{1.013 \times 10^6} = \frac{3735}{1.013 \times 10^6} \approx 0.00369\,m^3 = 3.69\,l \] Làm tròn đến hàng phần trăm: \[ V \approx 3.7\,l \] **Đáp án:** 3.7 lít. --- Phần IV. Tự luận Câu 1. Tính lượng nhiệt cần thiết để chuyển 1 kg nước đá -10°C thành hơi 100°C. Quá trình gồm các bước: 1) Nước đá -10°C lên 0°C (nóng lên đá): \[ Q_1 = m c_{đá} \Delta T = 1 \times 2100 \times (0 - (-10)) = 21000\,J \] 2) Nung chảy đá ở 0°C: \[ Q_2 = m \lambda = 1 \times 3.36 \times 10^5 = 336000\,J \] 3) Nóng nước 0°C đến 100°C: \[ Q_3 = m c_{nước} \Delta T = 1 \times 4200 \times (100 - 0) = 420000\,J \] 4) Hóa hơi nước ở 100°C: \[ Q_4 = m L = 1 \times 2.25 \times 10^6 = 2250000\,J \] Tổng nhiệt lượng cần: \[ Q = Q_1 + Q_2 + Q_3 + Q_4 = 21000 + 336000 + 420000 + 2250000 = 3021000\,J = 3.021 \times 10^6\,J \] **Đáp án:** Khoảng 3.02 MJ. --- Câu 2. a) Khí nén đẳng nhiệt: \(p_1 V_1 = p_2 V_2\) Cho: - \(p_1 = 1\,atm\), - \(V_1 = 1\,m^3\), - \(p_2 = 3.5\,atm\), Tính: \[ V_2 = \frac{p_1 V_1}{p_2} = \frac{1 \times 1}{3.5} = 0.286\,m^3 \] b) Đồ thị (p,V): - Trục hoành: V, - Trục tung: p, đường đẳng nhiệt là đường hyperbol \(p = \frac{const}{V}\), nối điểm (1,1) đến (0.286, 3.5). --- Câu 3. a) Định luật Boyle: Ở nhiệt độ không đổi, áp suất và thể tích của một lượng khí tỉ lệ nghịch với nhau: \[ p V = \text{const} \] Thể tích giảm khi áp suất tăng. b) Thể tích biến đổi \(\Delta V = 6\,l\), áp suất tăng từ \(p_1 = 1\,atm\) đến \(p_2 = 4\,atm\). Áp dụng định luật Boyle: \[ p_1 V_1 = p_2 V_2 \Rightarrow V_2 = \frac{p_1}{p_2} V_1 = \frac{1}{4} V_1 \] Biến đổi thể tích: \[ \Delta V = V_1 - V_2 = V_1 - \frac{1}{4} V_1 = \frac{3}{4} V_1 = 6\,l \] Suy ra: \[ V_1 = \frac{6 \times 4}{3} = 8\,l \] **Đáp án:** \(V_1=8\,l\). --- Câu 4. a) Đẳng quá trình: - \(1 \to 2\): đẳng tích (thể tích không đổi), - \(2 \to 3\): đẳng áp (áp suất không đổi), - \(3 \to 1\): đẳng nhiệt (nhiệt độ không đổi). Tính \(V_2\): Đẳng tích \(1 \to 2\): \[ V_2 = V_1 = 2\,l \] Tính \(T_3\): Đẳng áp \(2 \to 3\), áp suất \(p_2 = p_3 = 2 \times 10^5\,Pa\) Từ điểm 1: \[ p_1 V_1 = nRT_1 \] Điểm 2: \[ p_2 V_2 = nRT_2 \] Điểm 3: \[ p_3 V_3 = nRT_3 \] Biết \(p_1=6 \times 10^5\,Pa\), \(V_1=2\,l\), \(p_3=2 \times 10^5\,Pa\). Đẳng tích \(V_2 = V_1 = 2\,l\). Tính \(T_1\): Không có dữ liệu, nhưng có thể lấy \(T_2=100\,K\). Đẳng tích 1->2: \[ V_1 = V_2 \Rightarrow \frac{p_1}{T_1} = \frac{p_2}{T_2} \] \[ T_1 = \frac{p_1 T_2}{p_2} = \frac{6 \times 10^5 \times 100}{2 \times 10^5} = 300\,K \] Đẳng áp 2->3: \[ \frac{V_2}{T_2} = \frac{V_3}{T_3} \] \[ T_3 = T_2 \frac{V_3}{V_2} \] Chưa biết \(V_3\), cần thêm dữ liệu hoặc giả sử \(V_3 = V_1\) (chu trình kín). Nếu \(V_3=6\,l\) chẳng hạn thì: \[ T_3 = 100 \times \frac{V_3}{2} \] Do đề bài chưa đủ dữ liệu, xin bạn cung cấp thêm để giải chính xác. --- Câu 5. a) Nhiệt lượng làm nóng nhôm từ 20°C lên 658°C: \[ Q_1 = m c \Delta T = 0.1 \times 896 \times (658 - 20) = 0.1 \times 896 \times 638 = 57164.8\,J \] b) Nhiệt lượng để hóa lỏng: \[ Q_2 = m L = 0.1 \times 3.9 \times 10^5 = 39000\,J \] Tổng: \[ Q = Q_1 + Q_2 = 57164.8 + 39000 = 96164.8\,J \] --- Câu 6. a) Muốn tăng áp suất lên gấp 3, cần giảm thể tích khí. Vì thế phải đẩy pittông vào trong xilanh (giảm chiều cao). b) Ban đầu chiều cao: \(h_1 = 15\,cm\). Áp dụng định luật Boyle (đẳng nhiệt): \[ p_1 h_1 = p_2 h_2 \Rightarrow h_2 = \frac{p_1}{p_2} h_1 = \frac{1}{3} \times 15 = 5\,cm \] Khoảng cách pittông dịch chuyển: \[ \Delta h = h_1 - h_2 = 15 - 5 = 10\,cm \] --- Nếu cần giải thích chi tiết hơn phần nào, bạn hãy hỏi nhé!
Hãy giúp mọi người biết câu trả lời này thế nào?
0/5 (0 đánh giá)
thumb up 0
thumb down
0 bình luận
Bình luận
avatar
level icon
Thảo My

1 giờ trước

Hãy giúp mọi người biết câu trả lời này thế nào?
0/5 (0 đánh giá)
thumb up 0
thumb down
0 bình luận
Bình luận

Nếu bạn muốn hỏi bài tập

Các câu hỏi của bạn luôn được giải đáp dưới 10 phút

Ảnh ads

CÂU HỎI LIÊN QUAN

FQA.vn Nền tảng kết nối cộng đồng hỗ trợ giải bài tập học sinh trong khối K12. Sản phẩm được phát triển bởi CÔNG TY TNHH CÔNG NGHỆ GIA ĐÌNH (FTECH CO., LTD)
Điện thoại: 1900636019 Email: info@fqa.vn
location.svg Địa chỉ: Số 21 Ngõ Giếng, Phố Đông Các, Phường Đống Đa, Thành phố Hà Nội, Việt Nam.
Tải ứng dụng FQA
Người chịu trách nhiệm quản lý nội dung: Đào Trường Giang Giấy phép thiết lập MXH số 07/GP-BTTTT do Bộ Thông tin và Truyền thông cấp ngày 05/01/2024
Copyright © 2023 fqa.vn All Rights Reserved