4 giờ trước


4 giờ trước
3 giờ trước
Gọi số lớn là $x$ và số bé là $y$.
Theo đề bài, ta có các điều kiện: Hai số dương: $x > 0$ và $y > 0$.
Tổng của chúng là 81: $x + y = 81$
Hiệu của chúng là 13: $x - y = 13$ (vì $x$ là số lớn).
Điều kiện của số lớn là $81 > x > 13$.
Đáp án đúng là B. $81>x>13.$
4 giờ trước
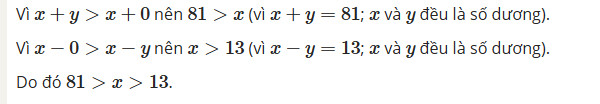
vì x, y là hai số dương nên x $\ne$ 0, y $\ne$ 0
vì tổng của số lớn và số bé là 81 ⇒ x + y = 81
⇒ 81 > x (1)
vì hiệu của số lớn và số bé là 13 ⇒ x - y = 13
⇒ x > 13 (2)
Từ (1) và (2) ⇒ 81 > x > 13 ⇒ chọn B
4 giờ trước

Nếu bạn muốn hỏi bài tập
Các câu hỏi của bạn luôn được giải đáp dưới 10 phút
CÂU HỎI LIÊN QUAN
4 giờ trước
4 giờ trước
4 giờ trước
4 giờ trước
4 giờ trước
Top thành viên trả lời