
3 giờ trước
2 giờ trước

2 giờ trước
Tại $i=0:$
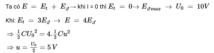
$W=\dfrac{1}{2}CU_{\max}^2$
Khi $W_{tu}=3W_{dien}\Rightarrow W=4W_{dien}\Rightarrow W_{dien}=\dfrac{W}{4}$
$W_{dien}=\dfrac{1}{2}CU^2=\dfrac{1}{4}\cdot\dfrac{1}{2}CU_{\max}^2\Rightarrow U^2=\dfrac{1}{4}U_{\max}^2$
$\Rightarrow U=\dfrac{U_{\max}}{2}=5V$
Nếu bạn muốn hỏi bài tập
Các câu hỏi của bạn luôn được giải đáp dưới 10 phút
CÂU HỎI LIÊN QUAN
Top thành viên trả lời