
2 giờ trước
2 giờ trước

thanhrfly
2 giờ trước
a-e-ja dòng thứ 2 đổi kiểu gì vậy?
2 giờ trước
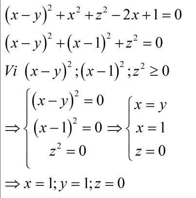
Giải bài toán tìm x, y, z:
Đề bài: (x - y)^2 + x^2 + z^2 - 2x + 1 = 0
Bước 1: Nhóm các hạng tử để tạo thành các bình phương.
Ta thấy các hạng tử x^2, -2x và 1 có thể nhóm lại thành một hằng đẳng thức (kiến thức lớp 7 phần mở rộng hoặc quan sát tính chất bình phương):
x^2 - 2x + 1 = (x - 1)^2
Bước 2: Viết lại phương trình ban đầu.
(x - y)^2 + (x - 1)^2 + z^2 = 0
Bước 3: Nhận xét về giá trị của các bình phương.
Với mọi số thực x, y, z ta luôn có:
Bước 4: Lập luận để tìm x, y, z.
Để tổng của ba số không âm bằng 0, thì từng số hạng đó phải đồng thời bằng 0.
Tức là:
Kết luận:
Vậy các giá trị cần tìm là: x = 1, y = 1, z = 0.
#Zinn
Nếu bạn muốn hỏi bài tập
Các câu hỏi của bạn luôn được giải đáp dưới 10 phút
CÂU HỎI LIÊN QUAN
Top thành viên trả lời