avatar
level icon
pppo

12/12/2024

Giải hộ mình câu này với các bạn

Bài 11: Hai quả bóng ép sát vào nhau trên mặt phẳng ngang. Khi buông tay, hai quả bóng lăn được nhữn
rotate image
thumb up 0
thumb down
Trả lời câu hỏi của pppo
  • Câu trả lời phải chính xác, đầy đủ dựa trên kiến thức xác thực:
    • ✔ Đối với câu hỏi trắc nghiệm: Đưa đáp án lựa chọn + giải thích lý do chọn đáp án.
    • ✔ Đối với câu hỏi tự luận: Đưa lời giải và đáp án cho câu hỏi.
    • ✔ Đối với câu hỏi trả lời ngắn: Đưa ra đáp án + giải thích lý do.
    • ✔ Chấp nhận sử dụng ảnh do thành viên viết tay, ảnh cần rõ nét, không bị mờ, vỡ ảnh.
  • Sử dụng ngôn ngữ rõ ràng, dễ hiểu.
  • Tránh đưa ra các ý kiến cá nhân mang tính chất chủ quan.
  • Nếu sử dụng thông tin từ nguồn khác, phải trích dẫn nguồn đầy đủ và chính xác.
  • Tuyệt đối không được sao chép các thông tin từ các trang khác, từ AI hoặc chatGPT.
CÂU TRẢ LỜI
avatar
Timi

12/12/2024

Trợ lý học tập AI - Câu trả lời này chỉ mang tính tham khảo
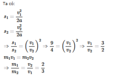
Để giải bài toán này, ta sẽ sử dụng định luật Newton và công thức chuyển động thẳng chậm dần đều. Gọi: - \( m_1 \) là khối lượng của quả bóng 1 (lăn được quãng đường 8m). - \( m_2 \) là khối lượng của quả bóng 2 (lăn được quãng đường 2m). - \( a \) là gia tốc (cùng giá trị cho cả hai quả bóng). - \( v_0 \) là vận tốc ban đầu của cả hai quả bóng khi chúng rời nhau. Theo công thức chuyển động thẳng chậm dần đều, ta có: \[ s = v_0 t + \frac{1}{2} a t^2 \] Với \( s \) là quãng đường, \( v_0 \) là vận tốc ban đầu, \( a \) là gia tốc, và \( t \) là thời gian. Với quả bóng 1 (lăn được 8m): \[ 8 = v_0 t_1 + \frac{1}{2} a t_1^2 \quad (1) \] Với quả bóng 2 (lăn được 2m): \[ 2 = v_0 t_2 + \frac{1}{2} a t_2^2 \quad (2) \] Vì hai quả bóng có cùng gia tốc và cùng thời gian chuyển động, ta có thể viết tỉ số quãng đường và thời gian như sau: Từ (1) và (2), ta có thể chia hai phương trình này cho nhau: \[ \frac{8}{2} = \frac{v_0 t_1 + \frac{1}{2} a t_1^2}{v_0 t_2 + \frac{1}{2} a t_2^2} \] Từ đó, ta có: \[ 4 = \frac{v_0 t_1 + \frac{1}{2} a t_1^2}{v_0 t_2 + \frac{1}{2} a t_2^2} \] Giả sử \( t_1 = k t_2 \) (với \( k \) là tỉ số thời gian), ta có: \[ 4 = \frac{v_0 k t_2 + \frac{1}{2} a (k t_2)^2}{v_0 t_2 + \frac{1}{2} a t_2^2} \] Rút gọn và giải phương trình này sẽ cho ta tỉ số khối lượng của hai quả bóng. Tuy nhiên, để đơn giản hơn, ta có thể sử dụng định luật bảo toàn động lượng. Khi hai quả bóng rời nhau, động lượng của chúng sẽ được bảo toàn: \[ m_1 v_1 = m_2 v_2 \] Với \( v_1 \) và \( v_2 \) là vận tốc của hai quả bóng khi chúng rời nhau. Ta có thể viết: \[ \frac{m_1}{m_2} = \frac{v_2}{v_1} \] Vì quãng đường lăn của quả bóng 1 là 8m và của quả bóng 2 là 2m, ta có thể suy ra rằng: \[ \frac{v_1}{v_2} = \frac{2}{8} = \frac{1}{4} \] Do đó: \[ \frac{m_1}{m_2} = \frac{v_2}{v_1} = 4 \] Vậy tỉ số khối lượng của hai quả bóng là: \[ \frac{m_1}{m_2} = 4 \] **Đáp án:** Tỉ số khối lượng của hai quả bóng là 4.
Hãy giúp mọi người biết câu trả lời này thế nào?
0/5 (0 đánh giá)
thumb up 0
thumb down
0 bình luận
Bình luận
avatar
level icon
wolfykitami

12/12/2024

Hãy giúp mọi người biết câu trả lời này thế nào?
0/5 (0 đánh giá)
thumb up 0
thumb down
0 bình luận
Bình luận

Nếu bạn muốn hỏi bài tập

Các câu hỏi của bạn luôn được giải đáp dưới 10 phút

Ảnh ads

CÂU HỎI LIÊN QUAN

FQA.vn Nền tảng kết nối cộng đồng hỗ trợ giải bài tập học sinh trong khối K12. Sản phẩm được phát triển bởi CÔNG TY TNHH CÔNG NGHỆ GIA ĐÌNH (FTECH CO., LTD)
Điện thoại: 1900636019 Email: info@fqa.vn
location.svg Địa chỉ: Số 21 Ngõ Giếng, Phố Đông Các, Phường Đống Đa, Thành phố Hà Nội, Việt Nam.
Tải ứng dụng FQA
Người chịu trách nhiệm quản lý nội dung: Đào Trường Giang Giấy phép thiết lập MXH số 07/GP-BTTTT do Bộ Thông tin và Truyền thông cấp ngày 05/01/2024
Copyright © 2023 fqa.vn All Rights Reserved