10 giờ trước


10 giờ trước
7 giờ trước

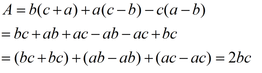
Nên giá trị của biểu thức A chỉ phụ thuộc vào b, c là đúng
Nếu bạn muốn hỏi bài tập
Các câu hỏi của bạn luôn được giải đáp dưới 10 phút
CÂU HỎI LIÊN QUAN
10 giờ trước
10 giờ trước
10 giờ trước
10 giờ trước
Top thành viên trả lời