5 giờ trước


5 giờ trước
2 giờ trước

3 giờ trước
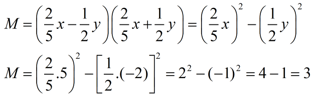
$M=\left(\frac{2}{5}x-\frac{1}{2}y\right)\left(\frac{2}{5}x+\frac{1}{2}y\right)$
$=\left(\frac{2}{5}x\right)^2-\left(\frac{1}{2}y\right)^2$
$=\frac{4}{25}x^2-\frac{1}{4}y^2$
$=\frac{4}{25}.5^2-\frac{1}{4}.\left(-2\right)^2$
$=\frac{4}{25}.25-\frac{1}{4}.4$
$=4-1$
$=3$.
Nếu bạn muốn hỏi bài tập
Các câu hỏi của bạn luôn được giải đáp dưới 10 phút
CÂU HỎI LIÊN QUAN
5 giờ trước
5 giờ trước
5 giờ trước
5 giờ trước
Top thành viên trả lời