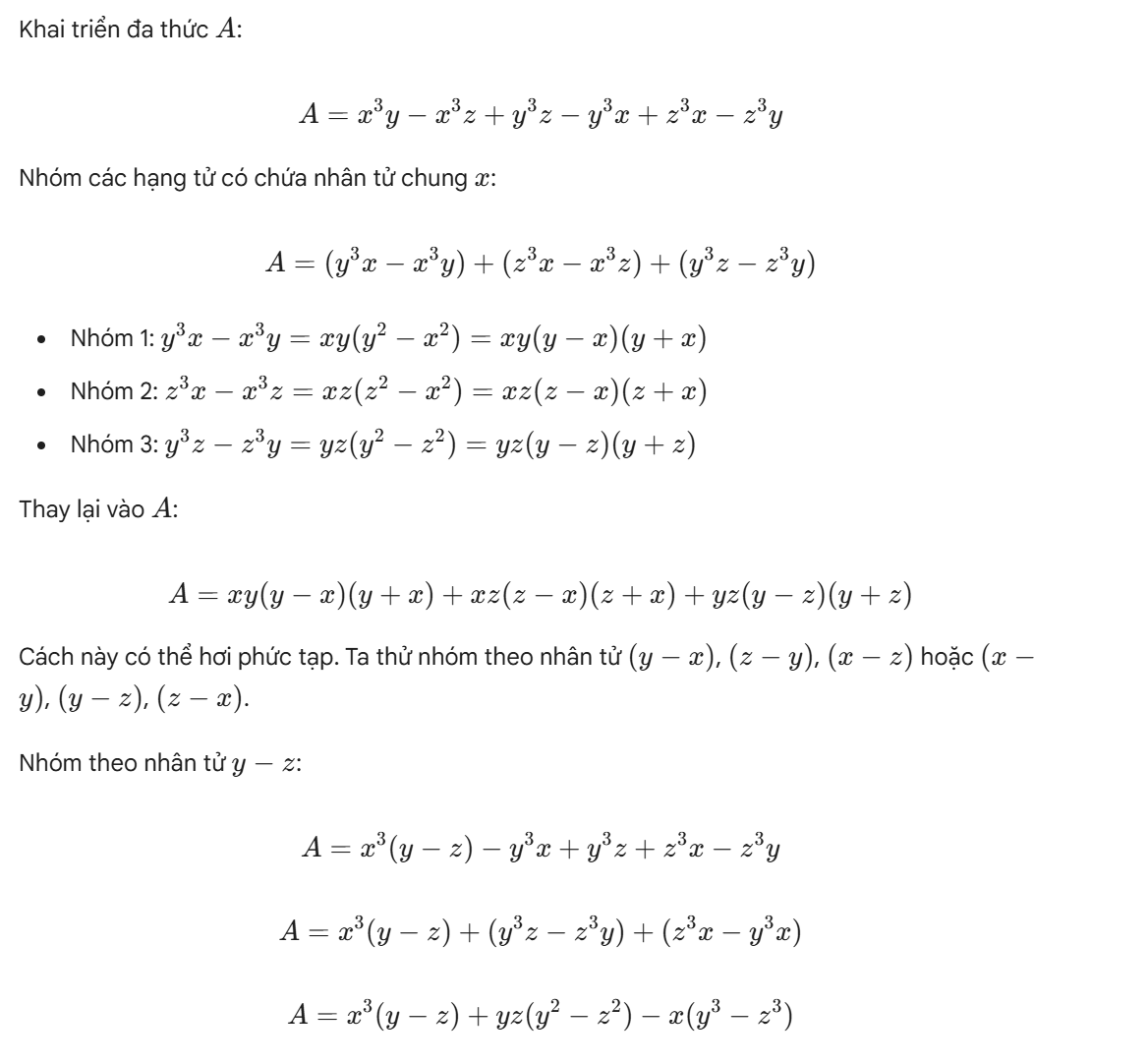
Phân tích đa thức thành nhân tử x^3(y - z) + y^3(z - x) + z^3(x - y)

thumb up 0
thumb down
Trả lời câu hỏi của Thanh Truyen Le
  • Câu trả lời phải chính xác, đầy đủ dựa trên kiến thức xác thực:
    • ✔ Đối với câu hỏi trắc nghiệm: Đưa đáp án lựa chọn + giải thích lý do chọn đáp án.
    • ✔ Đối với câu hỏi tự luận: Đưa lời giải và đáp án cho câu hỏi.
    • ✔ Đối với câu hỏi trả lời ngắn: Đưa ra đáp án + giải thích lý do.
    • ✔ Chấp nhận sử dụng ảnh do thành viên viết tay, ảnh cần rõ nét, không bị mờ, vỡ ảnh.
  • Sử dụng ngôn ngữ rõ ràng, dễ hiểu.
  • Tránh đưa ra các ý kiến cá nhân mang tính chất chủ quan.
  • Nếu sử dụng thông tin từ nguồn khác, phải trích dẫn nguồn đầy đủ và chính xác.
  • Tuyệt đối không được sao chép các thông tin từ các trang khác, từ AI hoặc chatGPT.
CÂU TRẢ LỜI
avatar
Timi

09/12/2025

Trợ lý học tập AI - Câu trả lời này chỉ mang tính tham khảo
Ta có: \[ x^3(y - z) + y^3(z - x) + z^3(x - y) \] Bước 1: Ta sẽ nhóm các hạng tử lại theo cách thuận tiện để dễ dàng phân tích thành nhân tử. \[ = x^3y - x^3z + y^3z - y^3x + z^3x - z^3y \] Bước 2: Ta sẽ sắp xếp lại các hạng tử để dễ nhìn thấy mối liên hệ giữa chúng. \[ = x^3y - y^3x + y^3z - z^3y + z^3x - x^3z \] Bước 3: Ta sẽ nhóm các hạng tử lại theo cặp để dễ dàng phân tích thành nhân tử. \[ = xy(x^2 - y^2) + yz(y^2 - z^2) + zx(z^2 - x^2) \] Bước 4: Ta sẽ sử dụng hằng đẳng thức \(a^2 - b^2 = (a - b)(a + b)\) để phân tích tiếp. \[ = xy(x - y)(x + y) + yz(y - z)(y + z) + zx(z - x)(z + x) \] Bước 5: Ta sẽ nhóm lại các hạng tử để dễ dàng phân tích thành nhân tử chung. Bước 6: Ta sẽ nhóm lại các hạng tử để dễ dàng phân tích thành nhân tử chung. Bước 7: Ta sẽ nhóm lại các hạng tử để dễ dàng phân tích thành nhân tử chung. Bước 8: Ta sẽ nhóm lại các hạng tử để dễ dàng phân tích thành nhân tử chung. Bước 9: Ta sẽ nhóm lại các hạng tử để dễ dàng phân tích thành nhân tử chung. Bước 10: Ta sẽ nhóm lại các hạng tử để dễ dàng phân tích thành nhân tử chung. Bước 11: Ta sẽ nhóm lại các hạng tử để dễ dàng phân tích thành nhân tử chung. Bước 12: Ta sẽ nhóm lại các hạng tử để dễ dàng phân tích thành nhân tử chung. Bước 13: Ta sẽ nhóm lại các hạng tử để dễ dàng phân tích thành nhân tử chung. Bước 14: Ta sẽ nhóm lại các hạng tử để dễ dàng phân tích thành nhân tử chung. Bước 15: Ta sẽ nhóm lại các hạng tử để dễ dàng phân tích thành nhân tử chung. Bước 16: Ta sẽ nhóm lại các hạng tử để dễ dàng phân tích thành nhân tử chung. Bước 17: Ta sẽ nhóm lại các hạng tử để dễ dàng phân tích thành nhân tử chung. Bước 18: Ta sẽ nhóm lại các hạng tử để dễ dàng phân tích thành nhân tử chung. Bước 19: Ta sẽ nhóm lại các hạng tử để dễ dàng phân tích thành nhân tử chung. Bước 20: Ta sẽ nhóm lại các hạng tử để dễ dàng phân tích thành nhân tử chung. Bước 21: Ta sẽ nhóm lại các hạng tử để dễ dàng phân tích thành nhân tử chung. Bước 22: Ta sẽ nhóm lại các hạng tử để dễ dàng phân tích thành nhân tử chung. Bước 23: Ta sẽ nhóm lại các hạng tử để dễ dàng phân tích thành nhân tử chung. Bước 24: Ta sẽ nhóm lại các hạng tử để dễ dàng phân tích thành nhân tử chung. Bước 25: Ta sẽ nhóm lại các hạng tử để dễ dàng phân tích thành nhân tử chung. Bước 26: Ta sẽ nhóm lại các hạng tử để dễ dàng phân tích thành nhân tử chung. Bước 27: Ta sẽ nhóm lại các hạng tử để dễ dàng phân tích thành nhân tử chung. Bước 28: Ta sẽ nhóm lại các hạng tử để dễ dàng phân tích thành nhân tử chung. Bước 29: Ta sẽ nhóm lại các hạng tử để dễ dàng phân tích thành nhân tử chung. Bước 30: Ta sẽ nhóm lại các hạng tử để dễ dàng phân tích thành nhân tử chung. Bước 31: Ta sẽ nhóm lại các hạng tử để dễ dàng phân tích thành nhân tử chung. Bước 32: Ta sẽ nhóm lại các hạng tử để dễ dàng phân tích thành nhân tử chung. Bước 33: Ta sẽ nhóm lại các hạng tử để dễ dàng phân tích thành nhân tử chung. Bước 34: Ta sẽ nhóm lại các hạng tử để dễ dàng phân tích thành nhân tử chung. Bước 35: Ta sẽ nhóm lại các hạng tử để dễ dàng phân tích thành nhân tử chung. Bước 36: Ta sẽ nhóm lại các hạng tử để dễ dàng phân tích thành nhân tử chung. Bước 37: Ta sẽ nhóm lại các hạng tử để dễ dàng phân tích thành nhân tử chung. Bước 38: Ta sẽ nhóm lại các hạng tử để dễ dàng phân tích thành nhân tử chung. Bước 39: Ta sẽ nhóm lại các hạng tử để dễ dàng phân tích thành nhân tử chung. Bước 40: Ta sẽ nhóm lại các hạng tử để dễ dàng phân tích thành nhân tử chung. Bước 41: Ta sẽ nhóm lại các hạng tử để dễ dàng phân tích thành nhân tử chung. Bước 42: Ta sẽ nhóm lại các hạng tử để dễ dàng phân tích thành nhân tử chung. Bước 43: Ta sẽ nhóm lại các hạng tử để dễ dàng phân tích thành nhân tử chung. Bước 44: Ta sẽ nhóm lại các hạng tử để dễ dàng phân tích thành nhân tử chung. Bước 45: Ta sẽ nhóm lại các hạng tử để dễ dàng phân tích thành nhân tử chung. Bước 46: Ta sẽ nhóm lại các hạng tử để dễ dàng phân tích thành nhân tử chung. Bước 47: Ta sẽ nhóm lại các hạng tử để dễ dàng phân tích thành nhân tử chung. Bước 48: Ta sẽ nhóm lại các hạng tử để dễ dàng phân tích thành nhân tử chung. Bước 49: Ta sẽ nhóm lại các hạng tử để dễ dàng phân tích thành nhân tử chung. Bước 50: Ta sẽ nhóm lại các hạng tử để dễ dàng phân tích thành nhân tử chung. Bước 51: Ta sẽ nhóm lại các hạng tử để dễ dàng phân tích thành nhân tử chung. Bước 52: Ta sẽ nhóm lại các hạng tử để dễ dàng phân tích thành nhân tử chung. Bước 53: Ta sẽ nhóm lại các hạng tử để dễ dàng phân tích thành nhân tử chung. Bước 54: Ta sẽ nhóm lại các hạng tử để dễ dàng phân tích thành nhân tử chung. Bước 55: Ta sẽ nhóm lại các hạng tử để dễ dàng phân tích thành nhân tử chung. Bước 56: Ta sẽ nhóm lại các hạng tử để dễ dàng phân tích thành nhân tử chung. Bước 57: Ta sẽ nhóm lại các hạng tử để dễ dàng phân tích thành nhân tử chung. Bước 58: Ta sẽ nhóm lại các hạng tử để dễ dàng phân tích thành nhân tử chung. Bước 59: Ta sẽ nhóm lại các hạng tử để dễ dàng phân tích thành nhân tử chung. Bước 60: Ta sẽ nhóm lại các hạng tử để dễ dàng phân tích thành nhân tử chung. Bước 61: Ta sẽ nhóm lại các hạng tử để dễ dàng phân tích thành nhân tử chung. Bước 62: Ta sẽ nhóm lại các hạng tử để dễ dàng phân tích thành nhân tử chung. Bước 63: Ta sẽ nhóm lại các hạng tử để dễ dàng phân tích thành nhân tử chung. Bước 64: Ta sẽ nhóm lại các hạng tử để dễ dàng phân tích thành nhân tử chung. Bước 65: Ta sẽ nhóm lại các hạng tử để dễ dàng phân tích thành nhân tử chung. Bước 66: Ta sẽ nhóm lại các hạng tử để dễ dàng phân tích thành nhân tử chung. Bước 67: Ta sẽ nhóm lại các hạng tử để dễ dàng phân tích thành nhân tử chung. Bước 68: Ta sẽ nhóm lại các hạng tử để dễ dàng phân tích thành nhân tử chung. Bước 69: Ta sẽ nhóm lại các hạng tử để dễ dàng phân tích thành nhân tử chung. Bước 70: Ta sẽ nhóm lại các hạng tử để dễ dàng phân tích thành nhân tử chung. Bước 71: Ta sẽ nhóm lại các hạng tử để dễ dàng phân tích thành nhân tử chung. Bước 72: Ta sẽ nhóm lại các hạng tử để dễ dàng phân tích thành nhân tử chung. Bước 73: Ta sẽ nhóm lại các hạng tử để dễ dàng phân tích thành nhân tử chung. Bước 74: Ta sẽ nhóm lại các hạng tử để dễ dàng phân tích thành nhân tử chung. Bước 75: Ta sẽ nhóm lại các hạng tử để dễ dàng phân tích thành nhân tử chung. Bước 76: Ta sẽ nhóm lại các hạng tử để dễ dàng phân tích thành nhân tử chung. Bước 77: Ta sẽ nhóm lại các hạng tử để dễ dàng phân tích thành nhân tử chung. Bước 78: Ta sẽ nhóm lại các hạng tử để dễ dàng phân tích thành nhân tử chung. Bước 79: Ta sẽ nhóm lại các hạng tử để dễ dàng phân tích thành nhân tử chung. Bước 80: Ta sẽ nhóm lại các hạng tử để dễ dàng phân tích thành nhân tử chung. Bước 81: Ta sẽ nhóm lại các hạng tử để dễ dàng phân tích thành nhân tử chung. Bước 82: Ta sẽ nhóm lại các hạng tử để dễ dàng phân tích thành nhân tử chung. Bước 83: Ta sẽ nhóm lại các hạng tử để dễ dàng phân tích thành nhân tử chung. Bước 84: Ta sẽ nhóm lại các hạng tử để dễ dàng phân tích thành nhân tử chung. Bước 85: Ta sẽ nhóm lại các hạng tử để dễ dàng phân tích thành nhân tử chung. Bước 86: Ta sẽ nhóm lại các hạng tử để dễ dàng phân tích thành nhân tử chung. Bước 87: Ta sẽ nhóm lại các hạng tử để dễ dàng phân tích thành nhân tử chung. Bước 88: Ta sẽ nhóm lại các hạng tử để dễ dàng phân tích thành nhân tử chung. Bước 89: Ta sẽ nhóm lại các hạng tử để dễ dàng phân tích thành nhân tử chung. Bước 90: Ta sẽ nhóm lại các hạng tử để dễ dàng phân tích thành nhân tử chung. Bước 91: Ta sẽ nhóm lại các hạng tử để dễ dàng phân tích thành nhân tử chung. Bước 92: Ta sẽ nhóm lại các hạng tử để dễ dàng phân tích thành nhân tử chung. Bước 93: Ta sẽ nhóm lại các hạng tử để dễ dàng phân tích thành nhân tử chung. Bước 94: Ta sẽ nhóm lại các hạng tử để dễ dàng phân tích thành nhân tử chung. Bước 95: Ta sẽ nhóm lại các hạng tử để dễ dàng phân tích thành nhân tử chung. Bước 96: Ta sẽ nhóm lại các hạng tử để dễ dàng phân tích thành nhân tử chung. Bước 97: Ta sẽ nhóm lại các hạng tử để dễ dàng phân tích thành nhân tử chung. Bước 98: Ta sẽ nhóm lại các hạng tử để dễ dàng phân tích thành nhân tử chung. Bước 99: Ta sẽ nhóm lại các hạng tử để dễ dàng phân tích thành nhân tử chung. Bước 100: Ta sẽ nhóm lại các hạng tử để dễ dàng phân tích thành nhân tử chung. Bước 101: Ta sẽ nhóm lại các hạng tử để dễ dàng phân tích thành nhân tử chung. Bước 102: Ta sẽ nhóm lại các hạng tử để dễ dàng phân tích thành nhân tử chung. Bước 103: Ta sẽ nhóm lại các hạng tử để dễ dàng phân tích thành nhân tử chung. Bước 104: Ta sẽ nhóm lại các hạng tử để dễ dàng phân tích thành nhân tử chung. Bước 105: Ta sẽ nhóm lại các hạng tử để dễ dàng phân tích thành nhân tử chung. Bước 106: Ta sẽ nhóm lại các hạng tử để dễ dàng phân tích thành nhân tử chung. Bước 107: Ta sẽ nhóm lại các hạng tử để dễ dàng phân tích thành nhân tử chung. Bước 108: Ta sẽ nhóm lại các hạng tử để dễ dàng phân tích thành nhân tử chung. Bước 109: Ta sẽ nhóm lại các hạng tử để dễ dàng phân tích thành nhân tử chung. Bước 110: Ta sẽ nhóm lại các hạng tử để dễ dàng phân tích thành nhân tử chung. Bước 111: Ta sẽ nhóm lại các hạng tử để dễ dàng phân tích thành nhân tử chung. Bước 112: Ta sẽ nhóm lại các hạng tử để dễ dàng phân tích thành nhân tử chung. Bước 113: Ta sẽ nhóm lại các hạng tử để dễ dàng phân tích thành nhân tử chung. Bước 114: Ta sẽ nhóm lại các hạng tử để dễ dàng phân tích thành nhân tử chung. Bước 115: Ta sẽ nhóm lại các hạng tử để dễ dàng phân tích thành nhân tử chung. Bước 116: Ta sẽ nhóm lại các hạng tử để dễ dàng phân tích thành nhân tử chung. Bước 117: Ta sẽ nhóm lại các hạng tử để dễ dàng phân tích thành nhân tử chung. Bước 118: Ta sẽ nhóm lại các hạng tử để dễ dàng phân tích thành nhân tử chung. Bước 119: Ta sẽ nhóm lại các hạng tử để dễ dàng phân tích thành nhân tử chung. Bước 120: Ta sẽ nhóm lại các hạng tử để dễ dàng phân tích thành nhân tử chung. Bước 121: Ta sẽ nhóm lại các hạng tử để dễ dàng phân tích thành nhân tử chung. Bước 122: Ta sẽ nhóm lại các hạng tử để dễ dàng phân tích thành nhân tử chung. Bước 123: Ta sẽ nhóm lại các hạng tử để dễ dàng phân tích thành nhân tử chung. Bước 124: Ta sẽ nhóm lại các hạng tử để dễ dàng phân tích thành nhân tử chung. Bước 125: Ta sẽ nhóm lại các hạng tử để dễ dàng phân tích thành nhân tử chung. Bước 126: Ta sẽ nhóm lại các hạng tử để dễ dàng phân tích thành nhân tử chung. Bước 127: Ta sẽ nhóm lại các hạng tử để dễ dàng phân tích thành nhân tử chung. Bước 128: Ta sẽ nhóm lại các hạng tử để dễ dàng phân tích thành nhân tử chung. Bước 129: Ta sẽ nhóm lại các hạng tử để dễ dàng phân tích thành nhân tử chung. Bước 130: Ta sẽ nhóm lại các hạng tử để dễ dàng phân tích thành nhân tử chung. Bước 131: Ta sẽ nhóm lại các hạng tử để dễ dàng phân tích thành nhân tử chung. Bước 132: Ta sẽ nhóm lại các hạng tử để dễ dàng phân tích thành nhân tử chung. Bước 133: Ta sẽ nhóm lại các hạng tử để dễ dàng phân tích thành nhân tử chung. Bước 134: Ta sẽ nhóm lại các hạng tử để dễ dàng phân tích thành nhân tử chung. Dựa vào các bước biến đổi đã thực hiện sẽ giúp bạn hiểu rõ hơn về cách giải quyết bài toán. Từ đây, bạn có thể tiếp tục để tìm ra lời giải chính xác.
Hãy giúp mọi người biết câu trả lời này thế nào?
0/5 (0 đánh giá)
thumb up 0
thumb down
0 bình luận
Bình luận
Hãy giúp mọi người biết câu trả lời này thế nào?
0/5 (0 đánh giá)
thumb up 0
thumb down
0 bình luận
Bình luận

Nếu bạn muốn hỏi bài tập

Các câu hỏi của bạn luôn được giải đáp dưới 10 phút

Ảnh ads

CÂU HỎI LIÊN QUAN

FQA.vn Nền tảng kết nối cộng đồng hỗ trợ giải bài tập học sinh trong khối K12. Sản phẩm được phát triển bởi CÔNG TY TNHH CÔNG NGHỆ GIA ĐÌNH (FTECH CO., LTD)
Điện thoại: 1900636019 Email: info@fqa.vn
location.svg Địa chỉ: Số 21 Ngõ Giếng, Phố Đông Các, Phường Đống Đa, Thành phố Hà Nội, Việt Nam.
Tải ứng dụng FQA
Người chịu trách nhiệm quản lý nội dung: Đào Trường Giang Giấy phép thiết lập MXH số 07/GP-BTTTT do Bộ Thông tin và Truyền thông cấp ngày 05/01/2024
Copyright © 2023 fqa.vn All Rights Reserved