6 giờ trước


6 giờ trước
4 giờ trước

6 giờ trước
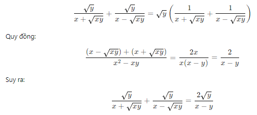
$A=\left(\frac{\sqrt{y}}{x+\sqrt{xy}}+\frac{\sqrt{y}}{x-\sqrt{xy}}\right):\frac{2\sqrt{y}}{x-y}$
$=\left\lbrack\frac{\sqrt{y}}{\sqrt{x}\left(\sqrt{x}+\sqrt{y}\right)}+\frac{\sqrt{y}}{\sqrt{x}\left(\sqrt{x}-\sqrt{y}\right)}\right\rbrack.\frac{\left(\sqrt{x}-\sqrt{y}\right)\left(\sqrt{x}+\sqrt{y}\right)}{2\sqrt{y}}$
$=\frac{\sqrt{y}\left(\sqrt{x}-\sqrt{y}\right)+\sqrt{y}\left(\sqrt{x}+\sqrt{y}\right)}{\sqrt{x}\left(\sqrt{x}-y\right)\left(\sqrt{x}+\sqrt{y}\right)}.\frac{\left(\sqrt{x}-y\right)\left(\sqrt{x}+\sqrt{y}\right)}{2\sqrt{y}}$
$=\frac{\sqrt{xy}-y+\sqrt{xy}+y}{\sqrt{x}}.\frac{1}{2\sqrt{y}}$
$=\frac{2\sqrt{xy}}{\sqrt{x}}.\frac{1}{2\sqrt{y}}$
$=1$
Nếu bạn muốn hỏi bài tập
Các câu hỏi của bạn luôn được giải đáp dưới 10 phút
CÂU HỎI LIÊN QUAN
2 giờ trước
7 giờ trước
7 giờ trước
Top thành viên trả lời