avatar
level icon
Mun đần

2 giờ trước

Câu trong ảnh làm như nào các bạn ơi...

BTVN 1 Thực hiện phép Tính $a)~\frac{90}{189}+\frac{45}{34}-\frac{75}{126}=.\frac{10}{21}+\fra
rotate image
thumb up 0
thumb down
Trả lời câu hỏi của Mun đần
  • Câu trả lời phải chính xác, đầy đủ dựa trên kiến thức xác thực:
    • ✔ Đối với câu hỏi trắc nghiệm: Đưa đáp án lựa chọn + giải thích lý do chọn đáp án.
    • ✔ Đối với câu hỏi tự luận: Đưa lời giải và đáp án cho câu hỏi.
    • ✔ Đối với câu hỏi trả lời ngắn: Đưa ra đáp án + giải thích lý do.
    • ✔ Chấp nhận sử dụng ảnh do thành viên viết tay, ảnh cần rõ nét, không bị mờ, vỡ ảnh.
  • Sử dụng ngôn ngữ rõ ràng, dễ hiểu.
  • Tránh đưa ra các ý kiến cá nhân mang tính chất chủ quan.
  • Nếu sử dụng thông tin từ nguồn khác, phải trích dẫn nguồn đầy đủ và chính xác.
  • Tuyệt đối không được sao chép các thông tin từ các trang khác, từ AI hoặc chatGPT.
CÂU TRẢ LỜI
avatar
Timi

2 giờ trước

Trợ lý học tập AI - Câu trả lời này chỉ mang tính tham khảo
a) $\frac{90}{189}+\frac{45}{34}-\frac{75}{126}=\frac{10}{21}+\frac{15}{28}+\frac{25}{42}=\frac{80}{168}+\frac{120}{168}+\frac{25}{42}=\frac{200}{108}=\frac{25}{21}+\frac{25}{42}=\frac{100}{34}+\frac{50}{84}=\frac{150}{84}=\frac{25}{14}$ Dựa vào các bước biến đổi đã thực hiện sẽ giúp bạn hiểu rõ hơn về cách giải quyết bài toán. Từ đây, bạn có thể tiếp tục để tìm ra lời giải chính xác.
Hãy giúp mọi người biết câu trả lời này thế nào?
0/5 (0 đánh giá)
thumb up 0
thumb down
0 bình luận
Bình luận
avatar
level icon
bimat0610

19 phút trước

1. Thực hiện phép tính 

  • a) -90189+4584−75126negative 90 over 189 end-fraction plus 45 over 84 end-fraction minus 75 over 126 end-fraction
  • 9
  • 0
  • 1
  • 8
  • 9
  • +
  • 4
  • 5
  • 8
  • 4
  • 7
  • 5
  • 1
  • 2
  • 6
  • = -1528negative 15 over 28 end-fraction
  • 1
  • 5
  • 2
  • 8
  • b) Bài này có các số liệu phức tạp và khả năng cao là có sai sót trong đề bài hoặc hình ảnh không rõ ràng, nên không thể đưa ra đáp án đơn giản. Đáp án tính toán theo các số trong ảnh là 482735486848273 over 54868 end-fraction
  • 𝟒
  • 𝟖
  • 𝟐
  • 𝟕
  • 𝟑
  • 𝟓
  • 𝟒
  • 𝟖
  • 𝟔
  • 𝟖
  • .
  • c) 1∶[(12−13)⋅25]∶4351 colon open bracket open paren one-half minus one-third close paren center dot two-fifths close bracket colon 4 and three-fifths
  • 1
  • 1
  • 2
  • 1
  • 3
  • 2
  • 5
  • 4
  • 3
  • 5
  • = 752375 over 23 end-fraction
  • 7
  • 5
  • 2
  • 3
  •  


2. Tìm x, biết 

  • a) −23x+4=-12negative two-thirds x plus 4 equals negative 12
  • 2
  • 3
  • 𝑥
  • +
  • 4
  • =
  • 1
  • 2
  • => x=24x equals 24
  • 𝑥
  • =
  • 2
  • 4
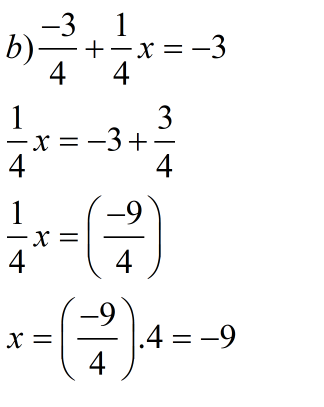
  • b) −34+14x=-3negative three-fourths plus one-fourth x equals negative 3
  • 3
  • 4
  • +
  • 1
  • 4
  • 𝑥
  • =
  • 3
  • => x=-9x equals negative 9
  • 𝑥
  • =
  • 9
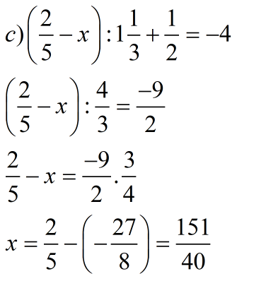
  • c) (25−x)∶113+12=-412open paren two-fifths minus x close paren colon 1 and one-third plus one-half equals negative 4 and one-half
  • 2
  • 5
  • 𝑥
  • 1
  • 1
  • 3
  • +
  • 1
  • 2
  • =
  • 4
  • 1
  • 2
  • => x=10615x equals 106 over 15 end-fraction
  • 𝑥
  • =
  • 1
  • 0
  • 6
  • 1
  • 5
  •  


Hãy giúp mọi người biết câu trả lời này thế nào?
0/5 (0 đánh giá)
thumb up 0
thumb down
0 bình luận
Bình luận
avatar
level icon
píu píu

1 giờ trước

Hãy giúp mọi người biết câu trả lời này thế nào?
0/5 (0 đánh giá)
thumb up 0
thumb down
0 bình luận
Bình luận

Nếu bạn muốn hỏi bài tập

Các câu hỏi của bạn luôn được giải đáp dưới 10 phút

Ảnh ads

CÂU HỎI LIÊN QUAN

FQA.vn Nền tảng kết nối cộng đồng hỗ trợ giải bài tập học sinh trong khối K12. Sản phẩm được phát triển bởi CÔNG TY TNHH CÔNG NGHỆ GIA ĐÌNH (FTECH CO., LTD)
Điện thoại: 1900636019 Email: info@fqa.vn
location.svg Địa chỉ: Số 21 Ngõ Giếng, Phố Đông Các, Phường Đống Đa, Thành phố Hà Nội, Việt Nam.
Tải ứng dụng FQA
Người chịu trách nhiệm quản lý nội dung: Đào Trường Giang Giấy phép thiết lập MXH số 07/GP-BTTTT do Bộ Thông tin và Truyền thông cấp ngày 05/01/2024
Copyright © 2023 fqa.vn All Rights Reserved