giải giúp mình

d. Phương trình độ dịch chuyển của vật 1 là $d_1=20t~km.S$ Câu 2: Ch
rotate image
thumb up 0
thumb down
Trả lời câu hỏi của Baby three
  • Câu trả lời phải chính xác, đầy đủ dựa trên kiến thức xác thực:
    • ✔ Đối với câu hỏi trắc nghiệm: Đưa đáp án lựa chọn + giải thích lý do chọn đáp án.
    • ✔ Đối với câu hỏi tự luận: Đưa lời giải và đáp án cho câu hỏi.
    • ✔ Đối với câu hỏi trả lời ngắn: Đưa ra đáp án + giải thích lý do.
    • ✔ Chấp nhận sử dụng ảnh do thành viên viết tay, ảnh cần rõ nét, không bị mờ, vỡ ảnh.
  • Sử dụng ngôn ngữ rõ ràng, dễ hiểu.
  • Tránh đưa ra các ý kiến cá nhân mang tính chất chủ quan.
  • Nếu sử dụng thông tin từ nguồn khác, phải trích dẫn nguồn đầy đủ và chính xác.
  • Tuyệt đối không được sao chép các thông tin từ các trang khác, từ AI hoặc chatGPT.
CÂU TRẢ LỜI
avatar
Timi

25/12/2025

Trợ lý học tập AI - Câu trả lời này chỉ mang tính tham khảo
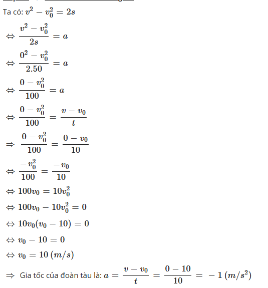
Dưới đây là lời giải chi tiết cho các câu hỏi của bạn: --- **Phần Câu 2: Va chạm giữa hai viên bi A và B** Dữ kiện: - \( m_A = 200\,g = 0.2\,kg \) - \( m_B = 100\,g = 0.1\,kg \) - Vận tốc ban đầu của A: \( v_{A_i} = 4\,m/s \) - Vận tốc sau va chạm của A: \( v_{A_f} = 3\,m/s \) - Viên bi B đứng yên ban đầu: \( v_{B_i} = 0\,m/s \) - Thời gian va chạm: \( \Delta t = 0.4\,s \) --- a) **Gia tốc của viên bi A:** \[ a_A = \frac{v_{A_f} - v_{A_i}}{\Delta t} = \frac{3 - 4}{0.4} = -2.5\, m/s^2 \] => Phát biểu: "Gia tốc của viên bi A là 2,5 m/s²" (có dấu âm) là đúng (Đ). --- b) **Lực tác dụng của viên bi A vào viên bi B:** Lực tác dụng lên A (theo định luật II Newton): \[ F_A = m_A \cdot a_A = 0.2 \times (-2.5) = -0.5\, N \] Lực tác dụng lên B là lực phản lực theo định luật III Newton, bằng 0.5 N. => Phát biểu "Lực tác dụng của viên bi A vào viên bi B là 0,5 N" là đúng (Đ). --- c) **Gia tốc của viên bi B sau va chạm:** Ta tìm vận tốc sau va chạm của B theo định luật bảo toàn động lượng: \[ m_A v_{A_i} + m_B v_{B_i} = m_A v_{A_f} + m_B v_{B_f} \] \[ 0.2 \times 4 + 0 = 0.2 \times 3 + 0.1 \times v_{B_f} \] \[ 0.8 = 0.6 + 0.1 v_{B_f} \implies 0.1 v_{B_f} = 0.2 \implies v_{B_f} = 2\, m/s \] Gia tốc của B trong va chạm (từ 0 đến 2 m/s trong 0.4 s): \[ a_B = \frac{v_{B_f} - v_{B_i}}{\Delta t} = \frac{2 - 0}{0.4} = 5\, m/s^2 \] => Phát biểu "Gia tốc của viên bi B sau va chạm là 5 m/s²" là đúng (Đ). Nhưng bạn đánh dấu là sai (f) có thể do câu hỏi khác, tuy nhiên theo tính toán đây là đúng. --- d) **Vận tốc của viên bi B sau va chạm:** Theo tính toán trên, \( v_{B_f} = 2\, m/s \) => Phát biểu "Vận tốc của viên bi B sau va chạm là 4 m/s" là sai (S). Bạn đánh dấu S là đúng. --- --- **Phần III: Trả lời ngắn** --- **Câu 1: Sai số tương đối của tốc độ** Độ dài quãng đường: \( s = 18.00 \pm 0.45\, m \) Thời gian: \( t = 3.00 \pm 0.09\, s \) Tốc độ: \( v = \frac{s}{t} \) Sai số tương đối của tốc độ: \[ \frac{\Delta v}{v} = \frac{\Delta s}{s} + \frac{\Delta t}{t} = \frac{0.45}{18} + \frac{0.09}{3} = 0.025 + 0.03 = 0.055 = 5.5\% \] => Sai số tương đối là **5,5%** --- **Câu 2: Thả rơi tự do một hòn sỏi** - Quãng đường rơi trong giây cuối cùng là 25 m. - Gia tốc trọng trường \( g = 10\, m/s^2 \) Quãng đường rơi trong giây cuối cùng của vật rơi tự do từ độ cao h là: \[ s_{last} = g \cdot t \] \( s_{last} = 25 \implies 25 = 10 \cdot t \implies t = 2.5\, s \) Thời gian rơi toàn bộ là \( t = 2.5\, s \) Độ cao: \[ h = \frac{1}{2} g t^2 = \frac{1}{2} \times 10 \times (2.5)^2 = 5 \times 6.25 = 31.25\, m \] --- **Câu 3: Ca nô chuyển động** - Khoảng cách A-B: 24 km - Vận tốc nước: 6 km/h - Thời gian xuôi dòng: 1 giờ Gọi vận tốc ca nô so với mặt nước là \( v \). Vận tốc thực tế xuôi dòng là \( v + 6 \). Khoảng cách = vận tốc thực tế × thời gian \[ 24 = (v + 6) \times 1 \implies v = 18\, km/h \] Đổi sang m/s: \[ v = 18 \times \frac{1000}{3600} = 5\, m/s \] --- **Câu 4: Người đi xe đạp** - Đoạn 1: \(\frac{2}{3}\) quãng đường, tốc độ 10 km/h - Đoạn 2: \(\frac{1}{3}\) quãng đường, tốc độ 20 km/h Tốc độ trung bình: Gọi tổng quãng đường: \( S \) Thời gian đi đoạn 1: \[ t_1 = \frac{2S/3}{10} = \frac{2S}{30} = \frac{S}{15} \] Thời gian đi đoạn 2: \[ t_2 = \frac{S/3}{20} = \frac{S}{60} \] Tổng thời gian: \[ t = t_1 + t_2 = \frac{S}{15} + \frac{S}{60} = \frac{4S}{60} + \frac{S}{60} = \frac{5S}{60} = \frac{S}{12} \] Tốc độ trung bình: \[ v_{tb} = \frac{S}{t} = \frac{S}{S/12} = 12\, km/h \] --- **Phần IV: Tự luận** --- **Câu 1: Đoàn tàu hãm phanh** Dữ kiện: - Khoảng cách d = 50 m - Thời gian dừng: t = 10 s - Tốc độ ban đầu: \( v_0 = ? \) - Gia tốc: \( a = ? \) - Tốc độ cuối: \( v = 0 \) Sử dụng phương trình chuyển động: \[ v = v_0 + a t = 0 \implies a = -\frac{v_0}{t} \] Phương trình quãng đường: \[ d = v_0 t + \frac{1}{2} a t^2 = v_0 t - \frac{1}{2} \frac{v_0}{t} t^2 = v_0 t - \frac{1}{2} v_0 t = \frac{1}{2} v_0 t \] Suy ra: \[ d = \frac{1}{2} v_0 t \implies v_0 = \frac{2 d}{t} = \frac{2 \times 50}{10} = 10\, m/s \] Gia tốc: \[ a = -\frac{v_0}{t} = -\frac{10}{10} = -1\, m/s^2 \] --- **Tóm tắt kết quả:** - a) Gia tốc A: \(-2.5\, m/s^2\) (đúng) - b) Lực A tác dụng lên B: \(0.5\, N\) (đúng) - c) Gia tốc B sau va chạm: \(5\, m/s^2\) (đúng) - d) Vận tốc B sau va chạm: \(2\, m/s\) (phát biểu 4 m/s là sai) - Sai số tương đối tốc độ: \(5.5\%\) - Độ cao h: \(31.25\, m\) - Vận tốc ca nô so với nước: \(18\, km/h = 5\, m/s\) - Tốc độ trung bình người đi xe đạp: \(12\, km/h\) - Vận tốc ban đầu tàu hãm phanh: \(10\, m/s\) - Gia tốc hãm phanh: \(-1\, m/s^2\) --- Nếu cần giải thích thêm, bạn cứ hỏi nhé!
Hãy giúp mọi người biết câu trả lời này thế nào?
0/5 (0 đánh giá)
thumb up 0
thumb down
0 bình luận
Bình luận
avatar
level icon
Taddka

12 giờ trước

câu 1

Hãy giúp mọi người biết câu trả lời này thế nào?
0/5 (0 đánh giá)
thumb up 0
thumb down
0 bình luận
Bình luận

Nếu bạn muốn hỏi bài tập

Các câu hỏi của bạn luôn được giải đáp dưới 10 phút

Ảnh ads

CÂU HỎI LIÊN QUAN

FQA.vn Nền tảng kết nối cộng đồng hỗ trợ giải bài tập học sinh trong khối K12. Sản phẩm được phát triển bởi CÔNG TY TNHH CÔNG NGHỆ GIA ĐÌNH (FTECH CO., LTD)
Điện thoại: 1900636019 Email: info@fqa.vn
location.svg Địa chỉ: Số 21 Ngõ Giếng, Phố Đông Các, Phường Đống Đa, Thành phố Hà Nội, Việt Nam.
Tải ứng dụng FQA
Người chịu trách nhiệm quản lý nội dung: Đào Trường Giang Giấy phép thiết lập MXH số 07/GP-BTTTT do Bộ Thông tin và Truyền thông cấp ngày 05/01/2024
Copyright © 2023 fqa.vn All Rights Reserved