Một bánh xe có bán kính R = 10 cm lúc đầu đứng yên, sau đó quay xung quanh trục của nó với gia tốc góc bằng 3,14 rad/s?. Hỏi sau giây thứ nhất: a) Vận tốc góc và vận tốc dài của một điểm trên vành bánh...

thumb up 0
thumb down
Trả lời câu hỏi của Khoa Nguyễn
  • Câu trả lời phải chính xác, đầy đủ dựa trên kiến thức xác thực:
    • ✔ Đối với câu hỏi trắc nghiệm: Đưa đáp án lựa chọn + giải thích lý do chọn đáp án.
    • ✔ Đối với câu hỏi tự luận: Đưa lời giải và đáp án cho câu hỏi.
    • ✔ Đối với câu hỏi trả lời ngắn: Đưa ra đáp án + giải thích lý do.
    • ✔ Chấp nhận sử dụng ảnh do thành viên viết tay, ảnh cần rõ nét, không bị mờ, vỡ ảnh.
  • Sử dụng ngôn ngữ rõ ràng, dễ hiểu.
  • Tránh đưa ra các ý kiến cá nhân mang tính chất chủ quan.
  • Nếu sử dụng thông tin từ nguồn khác, phải trích dẫn nguồn đầy đủ và chính xác.
  • Tuyệt đối không được sao chép các thông tin từ các trang khác, từ AI hoặc chatGPT.
CÂU TRẢ LỜI
avatar
Timi

06/10/2024

Câu trả lời uy tín
Trợ lý học tập AI - Câu trả lời này chỉ mang tính tham khảo
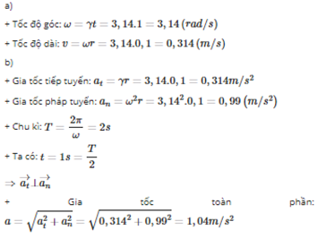
Để giải bài toán này, chúng ta sẽ sử dụng các công thức liên quan đến chuyển động quay. ### a) Vận tốc góc và vận tốc dài của một điểm trên vành bánh 1. **Vận tốc góc (ω)**: - Gia tốc góc (α) = 3,14 rad/s² - Vận tốc góc ban đầu (ω₀) = 0 rad/s (bánh xe đứng yên) - Sau 1 giây, vận tốc góc sẽ được tính bằng công thức: \[ ω = ω₀ + α \cdot t = 0 + 3,14 \cdot 1 = 3,14 \text{ rad/s} \] 2. **Vận tốc dài (v)**: - Vận tốc dài được tính bằng công thức: \[ v = ω \cdot R \] - Với R = 10 cm = 0,1 m: \[ v = 3,14 \cdot 0,1 = 0,314 \text{ m/s} \] ### b) Gia tốc pháp tuyến, gia tốc tiếp tuyến và gia tốc toàn phần của một điểm trên vành bánh 1. **Gia tốc tiếp tuyến (a_t)**: - Gia tốc tiếp tuyến được tính bằng công thức: \[ a_t = α \cdot R \] - Thay số vào: \[ a_t = 3,14 \cdot 0,1 = 0,314 \text{ m/s}^2 \] 2. **Gia tốc pháp tuyến (a_n)**: - Gia tốc pháp tuyến được tính bằng công thức: \[ a_n = \frac{v^2}{R} \] - Thay số vào: \[ a_n = \frac{(0,314)^2}{0,1} = \frac{0,098196}{0,1} = 0,98196 \text{ m/s}^2 \] 3. **Gia tốc toàn phần (a)**: - Gia tốc toàn phần là tổng của gia tốc tiếp tuyến và gia tốc pháp tuyến: \[ a = \sqrt{a_t^2 + a_n^2} \] - Tính toán: \[ a = \sqrt{(0,314)^2 + (0,98196)^2} = \sqrt{0,098196 + 0,9644} = \sqrt{1,062596} \approx 1,031 \text{ m/s}^2 \] ### c) Góc giữa gia tốc toàn phần và bán kính của bánh xe - Để tìm góc giữa gia tốc toàn phần và bán kính, ta sử dụng công thức: \[ \tan(θ) = \frac{a_t}{a_n} \] - Tính toán: \[ θ = \tan^{-1}\left(\frac{0,314}{0,98196}\right) \approx \tan^{-1}(0,319) \approx 17,5^\circ \] ### Kết luận a) Vận tốc góc sau 1 giây là 3,14 rad/s, vận tốc dài là 0,314 m/s. b) Gia tốc tiếp tuyến là 0,314 m/s², gia tốc pháp tuyến là 0,98196 m/s², gia tốc toàn phần là khoảng 1,031 m/s². c) Góc giữa gia tốc toàn phần và bán kính là khoảng 17,5 độ.
Hãy giúp mọi người biết câu trả lời này thế nào?
5.0/5 (1 đánh giá)
thumb up 0
thumb down
0 bình luận
Bình luận
Hãy giúp mọi người biết câu trả lời này thế nào?
0/5 (0 đánh giá)
thumb up 0
thumb down
0 bình luận
Bình luận

Nếu bạn muốn hỏi bài tập

Các câu hỏi của bạn luôn được giải đáp dưới 10 phút

Ảnh ads

CÂU HỎI LIÊN QUAN

FQA.vn Nền tảng kết nối cộng đồng hỗ trợ giải bài tập học sinh trong khối K12. Sản phẩm được phát triển bởi CÔNG TY TNHH CÔNG NGHỆ GIA ĐÌNH (FTECH CO., LTD)
Điện thoại: 1900636019 Email: info@fqa.vn
location.svg Địa chỉ: Số 21 Ngõ Giếng, Phố Đông Các, Phường Đống Đa, Thành phố Hà Nội, Việt Nam.
Tải ứng dụng FQA
Người chịu trách nhiệm quản lý nội dung: Đào Trường Giang Giấy phép thiết lập MXH số 07/GP-BTTTT do Bộ Thông tin và Truyền thông cấp ngày 05/01/2024
Copyright © 2023 fqa.vn All Rights Reserved