
28/08/2025
30/08/2025

28/08/2025
$\sqrt{4+2\sqrt{3}}$ $+$ $\sqrt{4-2\sqrt{3}}$
$=$ $\sqrt{(\sqrt{3}+1)^2}$ $+$ $\sqrt{(\sqrt{3}-1)^2}$
$=$ $($ $\sqrt{3}$ $+$ $1$ $)$ $+$ $($ $\sqrt{3}$ $-$ $1$ $)$
$=$ $2\sqrt{3}$
28/08/2025
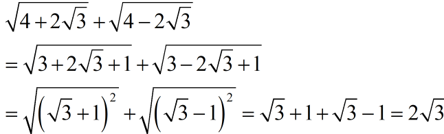
=$\sqrt{4+2\sqrt{3}}+\sqrt{4-2\sqrt{3}}$
=$\sqrt{3+2\sqrt{3}+1}+\sqrt{3-2\sqrt{3}+1}$
=$\sqrt{\left(\sqrt{3}+1\right)^2}+\sqrt{\left(\sqrt{3}-1\right)^2}$
=$\left|\sqrt{3}+1\right|+\left|\sqrt{3}-1\right|$
=$2\sqrt{3}$
Nếu bạn muốn hỏi bài tập
Các câu hỏi của bạn luôn được giải đáp dưới 10 phút
CÂU HỎI LIÊN QUAN
06/12/2025
06/12/2025
Top thành viên trả lời