12/10/2025

12/10/2025
12/10/2025

12/10/2025
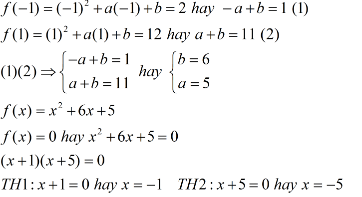
\(f(-1) = 1 - a + b = 2 \)
\(\Rightarrow -a + b = 1 \quad (1)\)
\( f(1) = 1 + a + b = 12 \)
\(\Rightarrow a + b = 11 \quad (2)\)
Cộng 2 vế của phương trình \(1\) và \(2\), ta được:
\(2b = 12\)
\(b = 6\)
Thay \(b = 6\) vào phương trình \((2)\), ta được:
\(a + 6 = 11\)
\(a = 5\)
Do đó: \( f(x) = x^2 + 5x + 6 \).
\(f(x) = (x + 2)(x + 3)\)
Cho \(f(x)=0\), ta được: \((x + 2)(x + 3) = 0\)
\(x = -2\) hoặc \(x = -3\)
Nếu bạn muốn hỏi bài tập
Các câu hỏi của bạn luôn được giải đáp dưới 10 phút
CÂU HỎI LIÊN QUAN
06/12/2025
06/12/2025
Top thành viên trả lời