
24/10/2025
5 giờ trước

24/10/2025
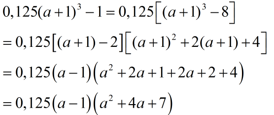
$0,125\left(a+1\right)^3-1$
$=\left\lbrack0,5.\left(a+1\right)^3\right\rbrack-1^3$
$=\left(0,5a+0,5\right)^3-1^3$
$=\left(0,5a+0,5-1\right)\left\lbrack\left(0,5a+0,5\right)^2+\left(0,5a+0,5\right).1+1^2\right\rbrack$
$=\left(0,5a-\frac{1}{2}\right)\left(0,25a^2+0,5a+0,25+0,5a+0,5+1\right)$
$=\left(0,5a-\frac{1}{2}\right)\left(0,25a^2+a+1,75\right)$
$=0,5\left(a-1\right).0,25\left(a^2+4a+7\right)$
$=0,125\left(a-1\right)\left(a^2+4a+7\right)$.
Nếu bạn muốn hỏi bài tập
Các câu hỏi của bạn luôn được giải đáp dưới 10 phút
CÂU HỎI LIÊN QUAN
23 phút trước
1 giờ trước
1 giờ trước
1 giờ trước
2 giờ trước
Top thành viên trả lời