
24/10/2025
7 giờ trước

24/10/2025
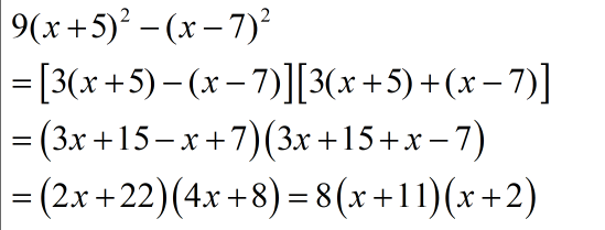
$9\left(x+5\right)^2-\left(x-7\right)^2$
$=\left\lbrack3\left(x+5\right)-\left(x-7\right)\right\rbrack\left\lbrack3\left(x+5\right)+\left(x-7\right)\right\rbrack$
$=\left(3x+15-x+7\right)\left(3x+15+x-7\right)$
$=\left(2x+22\right)\left(4x+8\right)$
$=2\left(x+11\right).4\left(x+2\right)$
$=8\left(x+11\right)\left(x+2\right)$.
Nếu bạn muốn hỏi bài tập
Các câu hỏi của bạn luôn được giải đáp dưới 10 phút
CÂU HỎI LIÊN QUAN
1 giờ trước
1 giờ trước
1 giờ trước
2 giờ trước
Top thành viên trả lời