24/10/2025

24/10/2025
7 giờ trước


24/10/2025
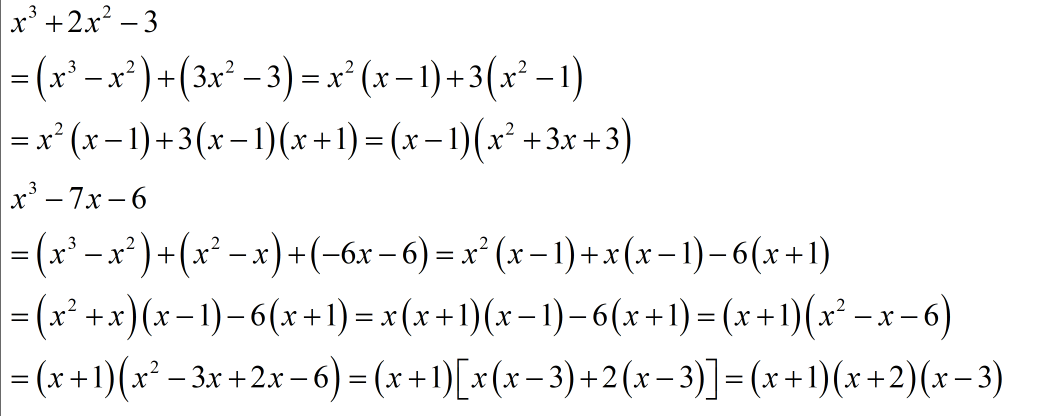
$x^3+2x^2-3$
$=x^3-x^2+3x^2-3$
$=x^2\left(x-1\right)+3\left(x^2-1\right)$
$=x^2\left(x-1\right)+3\left(x-1\right)\left(x+1\right)$
$=\left(x-1\right)\left\lbrack x^2+3\left(x+1\right)\right\rbrack$
$=\left(x-1\right)\left(x^2+3x+3\right)$
$x^3-7x-6$
$=x^3-x-6x-6$
$=x\left(x^2-1\right)-6\left(x+1\right)$
$=x\left(x-1\right)\left(x+1\right)-6\left(x+1\right)$
$=\left(x+1\right)\left\lbrack x\left(x-1\right)-6\right\rbrack$
$=\left(x+1\right)\left(x^2-x-6\right)$
$=\left(x+1\right)\left(x-3\right)\left(x+2\right)$
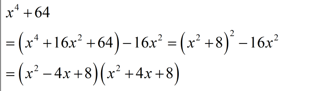
$x^4+64$
$=x^4+16x^2+64-16x^2$
$=\left(x^2+8\right)^2-\left(4x\right)^2$
$=\left(x^2-4x+8\right)\left(x^2+4x+8\right)$.
Bánh Bao Phô Mai
24/10/2025
Ninh Hoàng cảm ơn ạ
Nếu bạn muốn hỏi bài tập
Các câu hỏi của bạn luôn được giải đáp dưới 10 phút
CÂU HỎI LIÊN QUAN
1 giờ trước
1 giờ trước
1 giờ trước
2 giờ trước
Top thành viên trả lời