Giải dùm với ạ

$B.~TV_1=T_2V_2.$ $C.~P_1V_2=P_2+$ Câu 8. Ở áp suất không đổi, A. thể
rotate image
thumb up 0
thumb down
Trả lời câu hỏi của Hiếu Nguyễn
  • Câu trả lời phải chính xác, đầy đủ dựa trên kiến thức xác thực:
    • ✔ Đối với câu hỏi trắc nghiệm: Đưa đáp án lựa chọn + giải thích lý do chọn đáp án.
    • ✔ Đối với câu hỏi tự luận: Đưa lời giải và đáp án cho câu hỏi.
    • ✔ Đối với câu hỏi trả lời ngắn: Đưa ra đáp án + giải thích lý do.
    • ✔ Chấp nhận sử dụng ảnh do thành viên viết tay, ảnh cần rõ nét, không bị mờ, vỡ ảnh.
  • Sử dụng ngôn ngữ rõ ràng, dễ hiểu.
  • Tránh đưa ra các ý kiến cá nhân mang tính chất chủ quan.
  • Nếu sử dụng thông tin từ nguồn khác, phải trích dẫn nguồn đầy đủ và chính xác.
  • Tuyệt đối không được sao chép các thông tin từ các trang khác, từ AI hoặc chatGPT.
CÂU TRẢ LỜI
avatar
Timi

7 giờ trước

Trợ lý học tập AI - Câu trả lời này chỉ mang tính tham khảo
Dưới đây là lời giải chi tiết cho các câu hỏi bạn đã đưa ra: --- **Câu 8.** Ở áp suất không đổi, thể tích của một khối lượng khí xác định: - Đáp án đúng: **B. thể tích tỉ lệ thuận với nhiệt độ tuyệt đối của nó.** Giải thích: Định luật Charles phát biểu rằng, khi áp suất không đổi, thể tích khí tỉ lệ thuận với nhiệt độ tuyệt đối (T). --- **Câu 9.** Ở áp suất không đổi, thể tích của một khối lượng khí xác định: - Đáp án đúng: **B. tỉ lệ thuận với nhiệt độ tuyệt đối của nó.** Lý do giống câu 8, thể tích V ∝ T (nhiệt độ tuyệt đối). --- **Câu 10.** Nội dung định luật Charles đúng là: - Đáp án đúng: **B. Ở áp suất không đổi, thể tích của một khối lượng khí xác định tỉ lệ thuận với nhiệt độ tuyệt đối của nó.** --- **Câu 11.** Tính thể tích quả bóng lúc trưa: Dữ kiện: - Áp suất không đổi - Nhiệt độ buổi sáng: \( T_1 = 20^\circ C = 293 K \) - Thể tích ban đầu: \( V_1 = 2500~cm^3 \) - Nhiệt độ buổi trưa: \( T_2 = 35^\circ C = 308 K \) - Áp suất không đổi ⇒ \( \frac{V_1}{T_1} = \frac{V_2}{T_2} \Rightarrow V_2 = V_1 \frac{T_2}{T_1} \) Tính: \[ V_2 = 2500 \times \frac{308}{293} \approx 2500 \times 1.0505 = 2626.3~cm^3 \] Gần nhất là **A. 2628 cm³** --- **Câu 12.** Tính nhiệt độ khi đèn sáng: Dữ kiện: - Áp suất tăng 1,5 lần: \( P_2 = 1.5 P_1 \) - Nhiệt độ lúc tắt: \( T_1 = 27^\circ C = 300 K \) - Thể tích không đổi (bóng đèn kín) ⇒ theo định luật Gay-Lussac: \( \frac{P_1}{T_1} = \frac{P_2}{T_2} \Rightarrow T_2 = \frac{P_2}{P_1} T_1 = 1.5 \times 300 = 450 K \) Chuyển sang độ C: \[ T_2 = 450 - 273 = 177^\circ C \] Đáp án đúng: **A. 177°C** --- **Câu 13.** Khí được nung nóng để thể tích tăng gấp đôi ở áp suất không đổi, tìm nhiệt độ cuối cùng: Dữ kiện: - Áp suất không đổi - Tăng nhiệt độ ban đầu lên 0°C - Thể tích tăng gấp đôi: \( V_2 = 2 V_1 \) - Theo định luật Charles: \( \frac{V_1}{T_1} = \frac{V_2}{T_2} \Rightarrow T_2 = 2 T_1 \) Nhiệt độ ban đầu \( T_1 = 0^\circ C = 273 K \) Nhiệt độ cuối cùng: \[ T_2 = 2 \times 273 = 546 K \Rightarrow 546 - 273 = 273^\circ C \] Đáp án đúng: **B. 273°C** --- **Câu 14.** Thể tích tăng thêm 10% khi nhiệt độ tăng đến 47°C, tìm nhiệt độ ban đầu: Dữ kiện: - Áp suất không đổi - \( V_2 = 1.1 V_1 \) - \( T_2 = 47^\circ C = 320 K \) - Định luật Charles: \( \frac{V_1}{T_1} = \frac{V_2}{T_2} \Rightarrow T_1 = T_2 \frac{V_1}{V_2} = 320 \times \frac{1}{1.1} = 290.9 K \) Chuyển sang độ C: \[ T_1 = 290.9 - 273 = 17.9^\circ C \approx 18^\circ C \] Đáp án đúng: **A. 18°C** --- **Câu 15.** Khi đun nóng khí trong bình kín thêm \(20^\circ C\), áp suất tăng thêm \( \frac{1}{20} \) áp suất ban đầu. Tìm nhiệt độ ban đầu. Dữ kiện: - Tăng nhiệt độ: \( \Delta T = 20^\circ C \) - Áp suất tăng thêm: \( \Delta P = \frac{1}{20} P_1 \) - Bình kín thể tích không đổi, lượng khí không đổi ⇒ \( \frac{P}{T} = \text{const} \Rightarrow \frac{P_1}{T_1} = \frac{P_2}{T_2} \) Gọi nhiệt độ ban đầu \( T_1 \) (K), nhiệt độ sau: \[ T_2 = T_1 + 20 \quad \text{(đổi ra K: +20°C = +20 K)} \] Áp suất sau: \[ P_2 = P_1 + \frac{1}{20} P_1 = \frac{21}{20} P_1 \] Áp dụng định luật: \[ \frac{P_1}{T_1} = \frac{P_2}{T_2} \Rightarrow \frac{P_1}{T_1} = \frac{\frac{21}{20} P_1}{T_1 + 20} \Rightarrow \frac{1}{T_1} = \frac{21/20}{T_1 + 20} \] Giải phương trình: \[ \frac{1}{T_1} = \frac{21}{20(T_1 + 20)} \Rightarrow 20(T_1 + 20) = 21 T_1 \] \[ 20 T_1 + 400 = 21 T_1 \Rightarrow 400 = 21 T_1 - 20 T_1 = T_1 \Rightarrow T_1 = 400 K \] Chuyển sang °C: \[ 400 K - 273 = 127^\circ C \] Đáp án phù hợp là: **C. 400 K** --- **Tóm tắt đáp án:** - Câu 8: B - Câu 9: B - Câu 10: B - Câu 11: A - Câu 12: A - Câu 13: B - Câu 14: A - Câu 15: C --- Nếu bạn cần giải thích chi tiết thêm câu nào, bạn cứ hỏi nhé!
Hãy giúp mọi người biết câu trả lời này thế nào?
0/5 (0 đánh giá)
thumb up 0
thumb down
0 bình luận
Bình luận
avatar
level icon
Thai Nguyen Duc

7 giờ trước

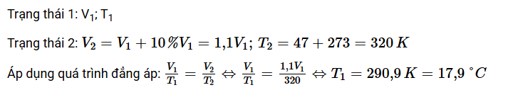
câu 14

Hãy giúp mọi người biết câu trả lời này thế nào?
0/5 (0 đánh giá)
thumb up 0
thumb down
0 bình luận
Bình luận

Nếu bạn muốn hỏi bài tập

Các câu hỏi của bạn luôn được giải đáp dưới 10 phút

Ảnh ads

CÂU HỎI LIÊN QUAN

FQA.vn Nền tảng kết nối cộng đồng hỗ trợ giải bài tập học sinh trong khối K12. Sản phẩm được phát triển bởi CÔNG TY TNHH CÔNG NGHỆ GIA ĐÌNH (FTECH CO., LTD)
Điện thoại: 1900636019 Email: info@fqa.vn
location.svg Địa chỉ: Số 21 Ngõ Giếng, Phố Đông Các, Phường Đống Đa, Thành phố Hà Nội, Việt Nam.
Tải ứng dụng FQA
Người chịu trách nhiệm quản lý nội dung: Đào Trường Giang Giấy phép thiết lập MXH số 07/GP-BTTTT do Bộ Thông tin và Truyền thông cấp ngày 05/01/2024
Copyright © 2023 fqa.vn All Rights Reserved