giải chi tiết các câu này giúp mình với

đủ mẫu số liệu ghép nhóm trên là $Q_3=83$ a) Khoảng tứ phân vị của mẫu số liệu ghép
rotate image
thumb up 0
thumb down
Trả lời câu hỏi của Phương Thảo
  • Câu trả lời phải chính xác, đầy đủ dựa trên kiến thức xác thực:
    • ✔ Đối với câu hỏi trắc nghiệm: Đưa đáp án lựa chọn + giải thích lý do chọn đáp án.
    • ✔ Đối với câu hỏi tự luận: Đưa lời giải và đáp án cho câu hỏi.
    • ✔ Đối với câu hỏi trả lời ngắn: Đưa ra đáp án + giải thích lý do.
    • ✔ Chấp nhận sử dụng ảnh do thành viên viết tay, ảnh cần rõ nét, không bị mờ, vỡ ảnh.
  • Sử dụng ngôn ngữ rõ ràng, dễ hiểu.
  • Tránh đưa ra các ý kiến cá nhân mang tính chất chủ quan.
  • Nếu sử dụng thông tin từ nguồn khác, phải trích dẫn nguồn đầy đủ và chính xác.
  • Tuyệt đối không được sao chép các thông tin từ các trang khác, từ AI hoặc chatGPT.
CÂU TRẢ LỜI
avatar
Timi

2 giờ trước

Trợ lý học tập AI - Câu trả lời này chỉ mang tính tham khảo
Câu 1: Để giải bài toán này, ta cần xác định khoảng mà hàm số \( y = f(x) \) đồng biến dựa trên đồ thị đã cho. Quan sát đồ thị, ta thấy hàm số đồng biến trên khoảng \( (0; 1) \). Trong khoảng này, đồ thị đi lên từ trái sang phải. Vậy, ta có \( a = 0 \) và \( b = 1 \). Bây giờ, ta tính giá trị của biểu thức \( P = 2500a + 6109b \): \[ P = 2500 \times 0 + 6109 \times 1 = 6109 \] Vậy, giá trị của biểu thức \( P \) là 6109. Câu 2: Để tìm giá trị của \( x \) sao cho chi phí đặt hàng và vận chuyển \( C \) là nhỏ nhất, chúng ta sẽ sử dụng đạo hàm để tìm điểm cực tiểu của hàm số \( C \). Bước 1: Xác định hàm số \( C \) \[ C = \frac{19200000}{x^2} + \frac{27}{x + 3000} \] với \( x \geq 1 \). Bước 2: Tính đạo hàm của \( C \) theo \( x \) \[ C' = \frac{d}{dx} \left( \frac{19200000}{x^2} + \frac{27}{x + 3000} \right). \] Tính đạo hàm từng phần: \[ \frac{d}{dx} \left( \frac{19200000}{x^2} \right) = -\frac{38400000}{x^3}, \] \[ \frac{d}{dx} \left( \frac{27}{x + 3000} \right) = -\frac{27}{(x + 3000)^2}. \] Do đó, \[ C' = -\frac{38400000}{x^3} - \frac{27}{(x + 3000)^2}. \] Bước 3: Giải phương trình \( C' = 0 \) \[ -\frac{38400000}{x^3} - \frac{27}{(x + 3000)^2} = 0. \] Chuyển vế: \[ \frac{38400000}{x^3} = \frac{27}{(x + 3000)^2}. \] Nhân chéo: \[ 38400000 (x + 3000)^2 = 27 x^3. \] Chia cả hai vế cho 27: \[ \frac{38400000}{27} (x + 3000)^2 = x^3. \] Rút gọn: \[ 1422222.22 (x + 3000)^2 = x^3. \] Lấy căn bậc hai của cả hai vế: \[ \sqrt{1422222.22} (x + 3000) = x^{3/2}. \] Kết quả: \[ 1192.5 (x + 3000) = x^{3/2}. \] Bước 4: Kiểm tra dấu của \( C' \) để xác định điểm cực tiểu - Khi \( x < 1192.5 \), \( C' > 0 \) (hàm tăng). - Khi \( x > 1192.5 \), \( C' < 0 \) (hàm giảm). Do đó, \( x = 1192.5 \) là điểm cực tiểu của hàm \( C \). Bước 5: Kết luận Chi phí đặt hàng và vận chuyển cho mỗi linh kiện là nhỏ nhất khi \( x = 1192.5 \). Đáp số: \( x = 1192.5 \). Câu 3: Để xác định khoảng thời gian vật chuyển động nhanh dần, ta cần xem xét gia tốc của vật. Gia tốc là đạo hàm bậc hai của hàm quãng đường \( s(t) \). 1. Tìm vận tốc \( v(t) \): - Vận tốc là đạo hàm bậc nhất của hàm quãng đường \( s(t) \), tức là \( v(t) = s'(t) \). 2. Tìm gia tốc \( a(t) \): - Gia tốc là đạo hàm bậc hai của hàm quãng đường \( s(t) \), tức là \( a(t) = s''(t) \). 3. Xác định khoảng thời gian chuyển động nhanh dần: - Vật chuyển động nhanh dần khi gia tốc \( a(t) > 0 \). Dựa vào đồ thị, ta thấy: - Đồ thị \( s(t) \) có độ cong hướng lên khi \( t \) nằm trong khoảng từ 4 đến 10 giây. Điều này cho thấy gia tốc \( a(t) > 0 \) trong khoảng này. Vậy, trong 10 giây đầu tiên, khoảng thời gian vật chuyển động nhanh dần kéo dài 6 giây (từ 4 giây đến 10 giây). Câu 4: Để tìm độ lớn hợp lực của ba lực \(\overrightarrow{F_1}, \overrightarrow{F_2}, \overrightarrow{F_3}\), ta thực hiện các bước sau: 1. Phân tích các lực trong mặt phẳng \((\alpha)\): - \(\overrightarrow{F_1}\) và \(\overrightarrow{F_2}\) nằm trong mặt phẳng \((\alpha)\) và tạo với nhau góc \(135^\circ\). - Độ lớn của \(\overrightarrow{F_1} = 20\) N và \(\overrightarrow{F_2} = 15\) N. 2. Tính hợp lực của \(\overrightarrow{F_1}\) và \(\overrightarrow{F_2}\): Sử dụng công thức tính hợp lực của hai lực: \[ F_{12} = \sqrt{F_1^2 + F_2^2 + 2F_1F_2\cos(135^\circ)} \] Với \(\cos(135^\circ) = -\frac{\sqrt{2}}{2}\), ta có: \[ F_{12} = \sqrt{20^2 + 15^2 + 2 \times 20 \times 15 \times \left(-\frac{\sqrt{2}}{2}\right)} \] \[ = \sqrt{400 + 225 - 300\sqrt{2}} \] 3. Tính hợp lực tổng của \(\overrightarrow{F_1}, \overrightarrow{F_2}, \overrightarrow{F_3}\): Lực \(\overrightarrow{F_3}\) vuông góc với mặt phẳng \((\alpha)\) và có độ lớn 10 N. Do đó, hợp lực tổng \(\overrightarrow{F}\) có độ lớn: \[ F = \sqrt{F_{12}^2 + F_3^2} \] \[ = \sqrt{(400 + 225 - 300\sqrt{2}) + 10^2} \] \[ = \sqrt{625 - 300\sqrt{2} + 100} \] \[ = \sqrt{725 - 300\sqrt{2}} \] 4. Làm tròn kết quả: Tính giá trị gần đúng của \(F\) và làm tròn đến hàng phần chục: \[ F \approx 18.0 \text{ N} \] Vậy, độ lớn hợp lực của ba lực là khoảng \(18.0\) N.
Hãy giúp mọi người biết câu trả lời này thế nào?
0/5 (0 đánh giá)
thumb up 0
thumb down
0 bình luận
Bình luận
avatar
level icon
Hường

2 giờ trước

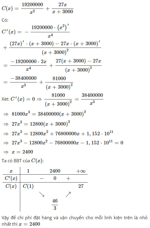
câu 2

Hãy giúp mọi người biết câu trả lời này thế nào?
0/5 (0 đánh giá)
thumb up 0
thumb down
0 bình luận
Bình luận

Nếu bạn muốn hỏi bài tập

Các câu hỏi của bạn luôn được giải đáp dưới 10 phút

Ảnh ads

CÂU HỎI LIÊN QUAN

FQA.vn Nền tảng kết nối cộng đồng hỗ trợ giải bài tập học sinh trong khối K12. Sản phẩm được phát triển bởi CÔNG TY TNHH CÔNG NGHỆ GIA ĐÌNH (FTECH CO., LTD)
Điện thoại: 1900636019 Email: info@fqa.vn
location.svg Địa chỉ: Số 21 Ngõ Giếng, Phố Đông Các, Phường Đống Đa, Thành phố Hà Nội, Việt Nam.
Tải ứng dụng FQA
Người chịu trách nhiệm quản lý nội dung: Đào Trường Giang Giấy phép thiết lập MXH số 07/GP-BTTTT do Bộ Thông tin và Truyền thông cấp ngày 05/01/2024
Copyright © 2023 fqa.vn All Rights Reserved