rong xi lanh của một động cơ đốt trong, hỗn hợp khí ở áp suất 1at, nhiệt độ 47℃, có thể tích 40dm3. Nén hỗn hợp khí đến thể tích 5dm3, áp suất 15at. Tính nhiệt độ của khí sau khi nén.

thumb up 0
thumb down
Trả lời câu hỏi của Mì 2 Tôm
  • Câu trả lời phải chính xác, đầy đủ dựa trên kiến thức xác thực:
    • ✔ Đối với câu hỏi trắc nghiệm: Đưa đáp án lựa chọn + giải thích lý do chọn đáp án.
    • ✔ Đối với câu hỏi tự luận: Đưa lời giải và đáp án cho câu hỏi.
    • ✔ Đối với câu hỏi trả lời ngắn: Đưa ra đáp án + giải thích lý do.
    • ✔ Chấp nhận sử dụng ảnh do thành viên viết tay, ảnh cần rõ nét, không bị mờ, vỡ ảnh.
  • Sử dụng ngôn ngữ rõ ràng, dễ hiểu.
  • Tránh đưa ra các ý kiến cá nhân mang tính chất chủ quan.
  • Nếu sử dụng thông tin từ nguồn khác, phải trích dẫn nguồn đầy đủ và chính xác.
  • Tuyệt đối không được sao chép các thông tin từ các trang khác, từ AI hoặc chatGPT.
CÂU TRẢ LỜI
avatar
Timi

15/12/2025

Trợ lý học tập AI - Câu trả lời này chỉ mang tính tham khảo
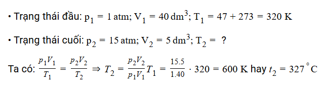
Đề bài cho: - Áp suất ban đầu: \( P_1 = 1 \text{ atm} \) - Nhiệt độ ban đầu: \( T_1 = 47^\circ C = 47 + 273 = 320 K \) - Thể tích ban đầu: \( V_1 = 40 \text{ dm}^3 \) - Thể tích sau nén: \( V_2 = 5 \text{ dm}^3 \) - Áp suất sau nén: \( P_2 = 15 \text{ atm} \) - Nhiệt độ sau nén: \( T_2 = ? \) Giải: Xét quá trình nén khí, ta giả sử lượng khí không đổi và là khí lý tưởng, nên ta sử dụng phương trình trạng thái khí lý tưởng: \[ P_1 V_1 / T_1 = P_2 V_2 / T_2 \] Từ đó ta có: \[ T_2 = \frac{P_2 V_2 T_1}{P_1 V_1} \] Thay số: \[ T_2 = \frac{15 \times 5 \times 320}{1 \times 40} = \frac{24000}{40} = 600 K \] Đổi lại độ C: \[ T_2 = 600 - 273 = 327^\circ C \] **Kết luận:** Nhiệt độ của khí sau khi nén là 327 độ C.
Hãy giúp mọi người biết câu trả lời này thế nào?
0/5 (0 đánh giá)
thumb up 0
thumb down
0 bình luận
Bình luận
avatar
level icon
Nọc

15/12/2025

Hãy giúp mọi người biết câu trả lời này thế nào?
0/5 (0 đánh giá)
thumb up 0
thumb down
0 bình luận
Bình luận

Nếu bạn muốn hỏi bài tập

Các câu hỏi của bạn luôn được giải đáp dưới 10 phút

Ảnh ads

CÂU HỎI LIÊN QUAN

FQA.vn Nền tảng kết nối cộng đồng hỗ trợ giải bài tập học sinh trong khối K12. Sản phẩm được phát triển bởi CÔNG TY TNHH CÔNG NGHỆ GIA ĐÌNH (FTECH CO., LTD)
Điện thoại: 1900636019 Email: info@fqa.vn
location.svg Địa chỉ: Số 21 Ngõ Giếng, Phố Đông Các, Phường Đống Đa, Thành phố Hà Nội, Việt Nam.
Tải ứng dụng FQA
Người chịu trách nhiệm quản lý nội dung: Đào Trường Giang Giấy phép thiết lập MXH số 07/GP-BTTTT do Bộ Thông tin và Truyền thông cấp ngày 05/01/2024
Copyright © 2023 fqa.vn All Rights Reserved