Giải giúp với

Bài 07.Cho $P=\frac{2\sqrt x-7}{3\sqrt x}$ và $P=\frac{\sqrt x+1}{\sqrt x-3
rotate image
thumb up 0
thumb down
Trả lời câu hỏi của Nguyễn Thế Trường
  • Câu trả lời phải chính xác, đầy đủ dựa trên kiến thức xác thực:
    • ✔ Đối với câu hỏi trắc nghiệm: Đưa đáp án lựa chọn + giải thích lý do chọn đáp án.
    • ✔ Đối với câu hỏi tự luận: Đưa lời giải và đáp án cho câu hỏi.
    • ✔ Đối với câu hỏi trả lời ngắn: Đưa ra đáp án + giải thích lý do.
    • ✔ Chấp nhận sử dụng ảnh do thành viên viết tay, ảnh cần rõ nét, không bị mờ, vỡ ảnh.
  • Sử dụng ngôn ngữ rõ ràng, dễ hiểu.
  • Tránh đưa ra các ý kiến cá nhân mang tính chất chủ quan.
  • Nếu sử dụng thông tin từ nguồn khác, phải trích dẫn nguồn đầy đủ và chính xác.
  • Tuyệt đối không được sao chép các thông tin từ các trang khác, từ AI hoặc chatGPT.
CÂU TRẢ LỜI
avatar
Timi

19/12/2025

Trợ lý học tập AI - Câu trả lời này chỉ mang tính tham khảo
Bài 07: a) Thay $x=4$ vào biểu thức $P$ ta được: $P=\frac{2\sqrt{4}-7}{3\sqrt{4}}=\frac{2\times 2-7}{3\times 2}=\frac{-3}{6}=-\frac{1}{2}$ Thay $x=4$ vào biểu thức $Q$ ta được: $Q=\frac{3\sqrt{4}}{\sqrt{4}+3}=\frac{3\times 2}{2+3}=\frac{6}{5}=1,2$ Vậy $P=-\frac{1}{2},~Q=1,2$ khi $x=4.$ b) Ta có: $Q=\frac{\sqrt{x}+1}{\sqrt{x}-3}+\frac{2\sqrt{x}}{\sqrt{x}+3}+\frac{7\sqrt{x}+3}{9-x}$ $=\frac{\sqrt{x}+1}{\sqrt{x}-3}+\frac{2\sqrt{x}}{\sqrt{x}+3}+\frac{7\sqrt{x}+3}{-(\sqrt{x}-3)(\sqrt{x}+3)}$ $=\frac{(\sqrt{x}+1)(\sqrt{x}+3)+2\sqrt{x}(\sqrt{x}-3)-(7\sqrt{x}+3)}{(\sqrt{x}-3)(\sqrt{x}+3)}$ $=\frac{x+3\sqrt{x}+\sqrt{x}+3+2x-6\sqrt{x}-7\sqrt{x}-3}{(\sqrt{x}-3)(\sqrt{x}+3)}$ $=\frac{3x-9\sqrt{x}}{(\sqrt{x}-3)(\sqrt{x}+3)}$ $=\frac{3\sqrt{x}(\sqrt{x}-3)}{(\sqrt{x}-3)(\sqrt{x}+3)}$ $=\frac{3\sqrt{x}}{\sqrt{x}+3}$ c) Ta có $Q=1,2$ suy ra $\frac{3\sqrt{x}}{\sqrt{x}+3}=1,2$ suy ra $3\sqrt{x}=1,2(\sqrt{x}+3)$ suy ra $3\sqrt{x}=1,2\sqrt{x}+3,6$ suy ra $1,8\sqrt{x}=3,6$ suy ra $\sqrt{x}=2$ suy ra $x=4.$ Vậy $x=4$ thỏa mãn $Q=1,2.$ Bài 08: Điều kiện xác định: \( x \geq 0, x \neq 1 \) a) Thay \( x = 9 \) vào biểu thức \( A \): \( A = \frac{\sqrt{9} + 2}{\sqrt{9} - 1} = \frac{3 + 2}{3 - 1} = \frac{5}{2} \) Vậy giá trị của \( A \) tại \( x = 9 \) là \( \frac{5}{2} \). b) Rút gọn biểu thức \( B \): \( B = \frac{\sqrt{x}}{\sqrt{x} + 1} - \frac{2\sqrt{x} + 4}{x - 1} + \frac{4}{\sqrt{x} - 1} \) Nhận thấy rằng \( x - 1 = (\sqrt{x} - 1)(\sqrt{x} + 1) \), ta có: \( B = \frac{\sqrt{x}}{\sqrt{x} + 1} - \frac{2\sqrt{x} + 4}{(\sqrt{x} - 1)(\sqrt{x} + 1)} + \frac{4}{\sqrt{x} - 1} \) Quy đồng mẫu số chung là \( (\sqrt{x} - 1)(\sqrt{x} + 1) \): \( B = \frac{\sqrt{x}(\sqrt{x} - 1) - (2\sqrt{x} + 4) + 4(\sqrt{x} + 1)}{(\sqrt{x} - 1)(\sqrt{x} + 1)} \) Rút gọn tử số: \( B = \frac{x - \sqrt{x} - 2\sqrt{x} - 4 + 4\sqrt{x} + 4}{(\sqrt{x} - 1)(\sqrt{x} + 1)} \) \( B = \frac{x + \sqrt{x}}{(\sqrt{x} - 1)(\sqrt{x} + 1)} \) \( B = \frac{\sqrt{x}(\sqrt{x} + 1)}{(\sqrt{x} - 1)(\sqrt{x} + 1)} \) \( B = \frac{\sqrt{x}}{\sqrt{x} - 1} \) c) Để \( A = 2 \), ta có: \( \frac{\sqrt{x} + 2}{\sqrt{x} - 1} = 2 \) Nhân cả hai vế với \( \sqrt{x} - 1 \): \( \sqrt{x} + 2 = 2(\sqrt{x} - 1) \) \( \sqrt{x} + 2 = 2\sqrt{x} - 2 \) \( 2 + 2 = 2\sqrt{x} - \sqrt{x} \) \( 4 = \sqrt{x} \) \( x = 16 \) Vậy \( x = 16 \) để \( A = 2 \). Bài 09: Điều kiện xác định: \( x \geq 0; x \neq 1 \) a) Thay \( x = 25 \) vào biểu thức \( A \): \( A = \frac{4\sqrt{25}}{\sqrt{25} - 1} = \frac{4 \cdot 5}{5 - 1} = \frac{20}{4} = 5 \) b) Ta có: \( B = \frac{1}{\sqrt{x} + 1} - \frac{\sqrt{x}}{1 - \sqrt{x}} + \frac{2}{x - 1} \) Quy đồng mẫu số chung cho các phân số: \( B = \frac{1}{\sqrt{x} + 1} + \frac{\sqrt{x}}{\sqrt{x} - 1} + \frac{2}{x - 1} \) \( B = \frac{1(\sqrt{x} - 1) + \sqrt{x}(\sqrt{x} + 1) + 2}{(\sqrt{x} + 1)(\sqrt{x} - 1)} \) \( B = \frac{\sqrt{x} - 1 + x + \sqrt{x} + 2}{x - 1} \) \( B = \frac{2\sqrt{x} + x + 1}{x - 1} \) \( B = \frac{(\sqrt{x} + 1)^2}{x - 1} \) \( B = \frac{\sqrt{x} + 1}{\sqrt{x} - 1} \) c) Ta có: \( P = A : B = \frac{4\sqrt{x}}{\sqrt{x} - 1} : \frac{\sqrt{x} + 1}{\sqrt{x} - 1} \) \( P = \frac{4\sqrt{x}}{\sqrt{x} - 1} \cdot \frac{\sqrt{x} - 1}{\sqrt{x} + 1} \) \( P = \frac{4\sqrt{x}}{\sqrt{x} + 1} \) Để \( P = \frac{5}{2} \), ta có: \( \frac{4\sqrt{x}}{\sqrt{x} + 1} = \frac{5}{2} \) \( 8\sqrt{x} = 5(\sqrt{x} + 1) \) \( 8\sqrt{x} = 5\sqrt{x} + 5 \) \( 3\sqrt{x} = 5 \) \( \sqrt{x} = \frac{5}{3} \) \( x = \left(\frac{5}{3}\right)^2 = \frac{25}{9} \) Vậy \( x = \frac{25}{9} \) để \( P = \frac{5}{2} \). Bài 10: a) Thay $x=25$ vào biểu thức $B=\frac{6}{x-3\sqrt{x}}$, ta có: \[ B = \frac{6}{25 - 3\sqrt{25}} = \frac{6}{25 - 15} = \frac{6}{10} = \frac{3}{5}. \] b) Ta rút gọn biểu thức $A$ như sau: \[ A = \frac{2\sqrt{x}}{x - 9} - \frac{2}{\sqrt{x} + 3}. \] Ta có: \[ x - 9 = (\sqrt{x} - 3)(\sqrt{x} + 3). \] Do đó: \[ A = \frac{2\sqrt{x}}{(\sqrt{x} - 3)(\sqrt{x} + 3)} - \frac{2}{\sqrt{x} + 3}. \] Quy đồng mẫu số chung, ta có: \[ A = \frac{2\sqrt{x} - 2(\sqrt{x} - 3)}{(\sqrt{x} - 3)(\sqrt{x} + 3)} = \frac{2\sqrt{x} - 2\sqrt{x} + 6}{(\sqrt{x} - 3)(\sqrt{x} + 3)} = \frac{6}{(\sqrt{x} - 3)(\sqrt{x} + 3)}. \] Vậy: \[ A = \frac{6}{x - 9}. \] c) Ta có: \[ \frac{B}{A} = \frac{\frac{6}{x - 3\sqrt{x}}}{\frac{6}{x - 9}} = \frac{6(x - 9)}{6(x - 3\sqrt{x})} = \frac{x - 9}{x - 3\sqrt{x}}. \] Theo đề bài, ta có: \[ \frac{x - 9}{x - 3\sqrt{x}} = \frac{2\sqrt{x} + 1}{2}. \] Nhân chéo, ta có: \[ 2(x - 9) = (x - 3\sqrt{x})(2\sqrt{x} + 1). \] Phân phối, ta có: \[ 2x - 18 = 2x\sqrt{x} + x - 6x - 3\sqrt{x}. \] Rút gọn, ta có: \[ 2x - 18 = 2x\sqrt{x} - 5x - 3\sqrt{x}. \] Chuyển tất cả các hạng tử sang một vế, ta có: \[ 2x - 18 - 2x\sqrt{x} + 5x + 3\sqrt{x} = 0. \] Gom nhóm các hạng tử, ta có: \[ 7x - 18 - 2x\sqrt{x} + 3\sqrt{x} = 0. \] Đặt $t = \sqrt{x}$, ta có: \[ 7t^2 - 18 - 2t^3 + 3t = 0. \] Sắp xếp lại, ta có: \[ -2t^3 + 7t^2 + 3t - 18 = 0. \] Giải phương trình này, ta tìm được $t = 3$. Do đó: \[ \sqrt{x} = 3 \implies x = 9. \] Tuy nhiên, $x = 9$ không thỏa mãn điều kiện $x \neq 9$. Vậy không có giá trị nào của $x$ thỏa mãn điều kiện đề bài. Bài 11: a) $\sqrt{x+3}-\sqrt{x-1}=\sqrt{2x+2}$ Điều kiện xác định: $x \geq 1$. Bình phương hai vế: $(\sqrt{x+3}-\sqrt{x-1})^2=(\sqrt{2x+2})^2$ $x+3-2\sqrt{(x+3)(x-1)}+x-1=2x+2$ $2x+2-2\sqrt{(x+3)(x-1)}=2x+2$ $-2\sqrt{(x+3)(x-1)}=0$ $\sqrt{(x+3)(x-1)}=0$ $(x+3)(x-1)=0$ $x+3=0$ hoặc $x-1=0$ $x=-3$ hoặc $x=1$ Kiểm tra điều kiện xác định: $x=-3$ không thỏa mãn điều kiện $x \geq 1$. $x=1$ thỏa mãn điều kiện $x \geq 1$. Thay $x=1$ vào phương trình ban đầu: $\sqrt{1+3}-\sqrt{1-1}=\sqrt{2(1)+2}$ $\sqrt{4}-\sqrt{0}=\sqrt{4}$ $2-0=2$ $2=2$ (đúng) Vậy nghiệm của phương trình là $x=1$. b) $\sqrt{3-x}+\sqrt{27-9x}=16$ Điều kiện xác định: $x \leq 3$. Bình phương hai vế: $(\sqrt{3-x}+\sqrt{27-9x})^2=16^2$ $3-x+2\sqrt{(3-x)(27-9x)}+27-9x=256$ $30-10x+2\sqrt{(3-x)(27-9x)}=256$ $2\sqrt{(3-x)(27-9x)}=226-10x$ $\sqrt{(3-x)(27-9x)}=113-5x$ Bình phương hai vế: $(3-x)(27-9x)=(113-5x)^2$ $81-27x-9x+9x^2=12769-1130x+25x^2$ $9x^2-36x+81=25x^2-1130x+12769$ $16x^2-1094x+12688=0$ $8x^2-547x+6344=0$ Phương trình này không có nghiệm thực sự đơn giản để giải bằng phương pháp lớp 9. Do đó, chúng ta sẽ không tiếp tục giải phương trình này ở đây. c) $\sqrt{x+3}=5$ Điều kiện xác định: $x \geq -3$. Bình phương hai vế: $(\sqrt{x+3})^2=5^2$ $x+3=25$ $x=22$ Kiểm tra điều kiện xác định: $x=22$ thỏa mãn điều kiện $x \geq -3$. Thay $x=22$ vào phương trình ban đầu: $\sqrt{22+3}=5$ $\sqrt{25}=5$ $5=5$ (đúng) Vậy nghiệm của phương trình là $x=22$. d) $\sqrt{x+3}-7=5$ Điều kiện xác định: $x \geq -3$. Cộng 7 vào hai vế: $\sqrt{x+3}=12$ Bình phương hai vế: $(\sqrt{x+3})^2=12^2$ $x+3=144$ $x=141$ Kiểm tra điều kiện xác định: $x=141$ thỏa mãn điều kiện $x \geq -3$. Thay $x=141$ vào phương trình ban đầu: $\sqrt{141+3}-7=5$ $\sqrt{144}-7=5$ $12-7=5$ $5=5$ (đúng) Vậy nghiệm của phương trình là $x=141$.
Hãy giúp mọi người biết câu trả lời này thế nào?
0/5 (0 đánh giá)
thumb up 0
thumb down
0 bình luận
Bình luận
avatar
level icon
Khanh

20/12/2025

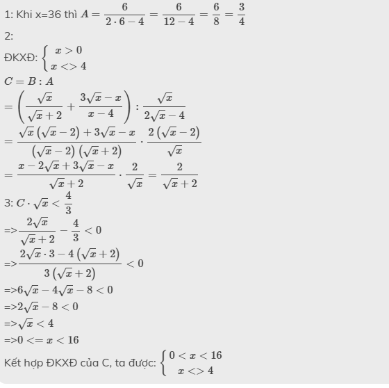
Bài 8:

Hãy giúp mọi người biết câu trả lời này thế nào?
0/5 (0 đánh giá)
thumb up 0
thumb down
0 bình luận
Bình luận

Nếu bạn muốn hỏi bài tập

Các câu hỏi của bạn luôn được giải đáp dưới 10 phút

Ảnh ads

CÂU HỎI LIÊN QUAN

FQA.vn Nền tảng kết nối cộng đồng hỗ trợ giải bài tập học sinh trong khối K12. Sản phẩm được phát triển bởi CÔNG TY TNHH CÔNG NGHỆ GIA ĐÌNH (FTECH CO., LTD)
Điện thoại: 1900636019 Email: info@fqa.vn
location.svg Địa chỉ: Số 21 Ngõ Giếng, Phố Đông Các, Phường Đống Đa, Thành phố Hà Nội, Việt Nam.
Tải ứng dụng FQA
Người chịu trách nhiệm quản lý nội dung: Đào Trường Giang Giấy phép thiết lập MXH số 07/GP-BTTTT do Bộ Thông tin và Truyền thông cấp ngày 05/01/2024
Copyright © 2023 fqa.vn All Rights Reserved