8 giờ trước


8 giờ trước
7 giờ trước

8 giờ trước
1)
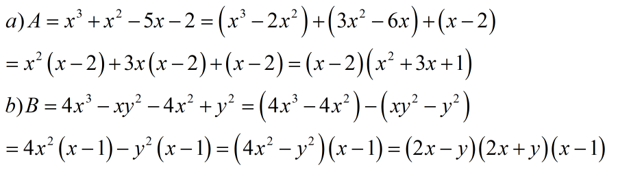
a)
$A=x^3+x^2-5x-2$
$=x^3-2x^2+3x^2-6x+x-2$
$=x^2\left(x-2\right)+3x\left(x-2\right)+\left(x-2\right)$
$=\left(x-2\right)\left(x^2+3x+1\right)$
b)
$B=4x^3-xy^2-4x^2+y^2$
$=\left(4x^3-4x^2\right)-\left(xy^2-y^2\right)$
$=4x^2\left(x-1\right)-y^2\left(x-1\right)$
$=\left(4x^2-y^2\right)\left(x-1\right)$
$=\left(2x-y\right)\left(2x+y\right)\left(x-1\right)$
2)
Phép chia đa thức $\left(4x^3-x^2+ax+b\right):\left(x^2+x+2\right)=4x-5$ dư $\left(a+3\right)x+\left(b+10\right)$
Ta có:
$\left(a+3\right)x+\left(b+10\right)=3x+1$
$\Rightarrow\begin{cases}a+3=3 \\ b+10=1\end{cases}$
$\begin{cases}a=0 \\ b=-9\end{cases}$
Vậy $a=0;b=-9$.
Nếu bạn muốn hỏi bài tập
Các câu hỏi của bạn luôn được giải đáp dưới 10 phút
CÂU HỎI LIÊN QUAN
7 giờ trước
Top thành viên trả lời