avatar
level icon
Ngọc Hồ

8 giờ trước

Giúp mình ạ

KIỂM TRA. Thời gian: 70 phút 102. Câu trắc nghiệm nhiều phương án lựa chọn. Thí sinh trả lời
rotate image
thumb up 0
thumb down
Trả lời câu hỏi của Ngọc Hồ
  • Câu trả lời phải chính xác, đầy đủ dựa trên kiến thức xác thực:
    • ✔ Đối với câu hỏi trắc nghiệm: Đưa đáp án lựa chọn + giải thích lý do chọn đáp án.
    • ✔ Đối với câu hỏi tự luận: Đưa lời giải và đáp án cho câu hỏi.
    • ✔ Đối với câu hỏi trả lời ngắn: Đưa ra đáp án + giải thích lý do.
    • ✔ Chấp nhận sử dụng ảnh do thành viên viết tay, ảnh cần rõ nét, không bị mờ, vỡ ảnh.
  • Sử dụng ngôn ngữ rõ ràng, dễ hiểu.
  • Tránh đưa ra các ý kiến cá nhân mang tính chất chủ quan.
  • Nếu sử dụng thông tin từ nguồn khác, phải trích dẫn nguồn đầy đủ và chính xác.
  • Tuyệt đối không được sao chép các thông tin từ các trang khác, từ AI hoặc chatGPT.
CÂU TRẢ LỜI
avatar
Timi

8 giờ trước

Trợ lý học tập AI - Câu trả lời này chỉ mang tính tham khảo
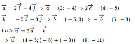
Chúng ta sẽ giải quyết từng câu hỏi một cách chi tiết. Câu 1: Cho góc \(\alpha\) thỏa mãn \(90^\circ < \alpha < 180^\circ\). Tìm khẳng định sai. - A. \(\alpha < 0\) - B. \(\cot \alpha > 0\) - C. \(\cos \alpha < 0\) - D. \(\sin \alpha > 0\) Giải thích: - \(\alpha < 0\): Sai, vì \(\alpha\) nằm trong khoảng \(90^\circ < \alpha < 180^\circ\), nên \(\alpha\) là một góc dương. - \(\cot \alpha > 0\): Đúng, vì \(\alpha\) nằm trong góc phần tư thứ II, nơi mà \(\cot\) dương. - \(\cos \alpha < 0\): Đúng, vì \(\alpha\) nằm trong góc phần tư thứ II, nơi mà \(\cos\) âm. - \(\sin \alpha > 0\): Đúng, vì \(\alpha\) nằm trong góc phần tư thứ II, nơi mà \(\sin\) dương. Kết luận: Khẳng định sai là A. \(\alpha < 0\). Câu 2: Trong mặt phẳng tọa độ Oxy, cho \(A(-1;6)\). Tìm tọa độ của vectơ \(\overrightarrow{OA}\). - A. \((-1;6)\) - B. \((6;-1)\) - C. \((-1;6)\) - D. \((1;-6)\) Giải thích: Vectơ \(\overrightarrow{OA}\) có tọa độ là \((-1;6)\) vì điểm đầu là \(O(0,0)\) và điểm cuối là \(A(-1,6)\). Kết luận: Tọa độ của vectơ \(\overrightarrow{OA}\) là C. \((-1;6)\). Câu 3: Cho hình chữ nhật \(ABCD\) có \(CB=3a; CD=a\). Độ dài của vectơ \(\overrightarrow{CB}+\overrightarrow{CD}\) bằng: - A. \(\sqrt{2}\) - B. \(2a\sqrt{10}\) - C. \(a\sqrt{2}\) - D. \(a\sqrt{10}\) Giải thích: Vectơ \(\overrightarrow{CB}\) có độ dài \(3a\) và vectơ \(\overrightarrow{CD}\) có độ dài \(a\). Vì \(CB\) và \(CD\) vuông góc với nhau (do là các cạnh của hình chữ nhật), nên độ dài của vectơ \(\overrightarrow{CB}+\overrightarrow{CD}\) được tính bằng định lý Pythagore: \[ |\overrightarrow{CB}+\overrightarrow{CD}| = \sqrt{(3a)^2 + a^2} = \sqrt{9a^2 + a^2} = \sqrt{10a^2} = a\sqrt{10} \] Kết luận: Độ dài của vectơ \(\overrightarrow{CB}+\overrightarrow{CD}\) là D. \(a\sqrt{10}\). Câu 4: Hệ nào dưới đây là hệ bất phương trình bậc nhất hai ẩn? - A. \(\left\{\begin{array}{l}y-2xy>6\\5x+y>-1\end{array}\right.\) - B. \(\left\{\begin{array}{l}x+3y\geq-9\\y-x<5\end{array}\right.\) - C. \(\left\{\begin{array}{l}y-x>0\\y^2+7x<0\end{array}\right.\) - D. \(\left\{\begin{array}{l}\frac{x}{y}+4y>0\\3y-2x>0\end{array}\right.\) Giải thích: - A. Không phải là hệ bất phương trình bậc nhất hai ẩn vì có \(xy\) (bậc hai). - B. Là hệ bất phương trình bậc nhất hai ẩn vì cả hai bất phương trình đều là bậc nhất. - C. Không phải là hệ bất phương trình bậc nhất hai ẩn vì có \(y^2\) (bậc hai). - D. Không phải là hệ bất phương trình bậc nhất hai ẩn vì có \(\frac{x}{y}\) (không phải bậc nhất). Kết luận: Hệ bất phương trình bậc nhất hai ẩn là B. \(\left\{\begin{array}{l}x+3y\geq-9\\y-x<5\end{array}\right.\). Câu 5: Ta có: $\mathbb{R}\setminus(-\infty;5)=[5;+\infty).$ Do đó khẳng định đúng là C. Câu 6: Để xác định khẳng định nào đúng, ta cần tính tích vô hướng của hai vectơ $\overrightarrow{a}$ và $\overrightarrow{b}$. Cho hai vectơ $\overrightarrow{a} = (2; 5)$ và $\overrightarrow{b} = (4; 3)$. Tích vô hướng của hai vectơ $\overrightarrow{a}$ và $\overrightarrow{b}$ được tính theo công thức: \[ \overrightarrow{a} \cdot \overrightarrow{b} = x_1 \cdot x_2 + y_1 \cdot y_2 \] Trong đó, $\overrightarrow{a} = (x_1, y_1) = (2, 5)$ và $\overrightarrow{b} = (x_2, y_2) = (4, 3)$. Áp dụng công thức, ta có: \[ \overrightarrow{a} \cdot \overrightarrow{b} = 2 \cdot 4 + 5 \cdot 3 = 8 + 15 = 23 \] Vậy, tích vô hướng của hai vectơ $\overrightarrow{a}$ và $\overrightarrow{b}$ là 23. Do đó, khẳng định đúng là: $A.~\overrightarrow{a} \cdot \overrightarrow{b} = 23.$ Câu 7: Để giải bài toán này, chúng ta sẽ thực hiện các phép toán trên các khoảng và đoạn đã cho. 1. Xác định \( A \cap B \): - \( A = (-\infty; 9] \) - \( B = [3; +\infty) \) - Giao của hai khoảng này là \( A \cap B = [3; 9] \). 2. Kết hợp \( (A \cap B) \) với \( C \): - \( C = [1; 5] \) - Hợp của \( [3; 9] \) và \( [1; 5] \) là \( [1; 9] \). Do đó, tập \( (A \cap B) \cup C \) là \( [1; 9] \). Đáp án đúng là: \[ C.~[1;9]. \] Câu 8: Mệnh đề P: \(\forall x \in \mathbb{R}, x^2 \leq 3\). Phủ định của một mệnh đề \(\forall x \in \mathbb{R}, P(x)\) là \(\exists x \in \mathbb{R}, \neg P(x)\). Trong trường hợp này, phủ định của \(x^2 \leq 3\) là \(x^2 > 3\). Do đó, mệnh đề phủ định của P là: \[ \exists x \in \mathbb{R}, x^2 > 3 \] Vậy đáp án đúng là: \[ \boxed{C} \] Câu 9: Để giải bài toán này, ta cần xác định số lượng vectơ khác vectơ-không có điểm đầu và điểm cuối lấy từ các đỉnh của hình vuông ABCD. 1. Xác định các đỉnh của hình vuông: Hình vuông ABCD có 4 đỉnh là A, B, C, D. 2. Tính số lượng vectơ có thể tạo thành: - Mỗi vectơ được xác định bởi một điểm đầu và một điểm cuối khác nhau. - Số cách chọn điểm đầu là 4 (có thể là A, B, C, hoặc D). - Sau khi chọn điểm đầu, số cách chọn điểm cuối khác điểm đầu là 3 (vì không thể chọn lại điểm đầu làm điểm cuối). 3. Tính tổng số vectơ: - Với mỗi điểm đầu, có 3 cách chọn điểm cuối. Do đó, tổng số vectơ có thể tạo thành là \(4 \times 3 = 12\). 4. Loại trừ vectơ-không: - Vectơ-không là vectơ có điểm đầu và điểm cuối trùng nhau, nhưng trong bài toán này, ta chỉ xét các vectơ khác vectơ-không, nên không có vectơ nào bị loại trừ. Vậy, có tất cả 12 vectơ khác vectơ-không có điểm đầu và điểm cuối lấy từ các đỉnh của hình vuông ABCD. Đáp án: D. 12. Câu 10: Để giải quyết bài toán này, chúng ta cần sử dụng các quy tắc cơ bản của phép toán vectơ. Cụ thể, chúng ta sẽ phân tích từng đẳng thức để xem đẳng thức nào là đúng. 1. Đẳng thức A: \(\overrightarrow{BA} - \overrightarrow{AC} = \overrightarrow{BC}\) - Ta có: \(\overrightarrow{BA} = \overrightarrow{OA} - \overrightarrow{OB}\) và \(\overrightarrow{AC} = \overrightarrow{OC} - \overrightarrow{OA}\). - Khi đó: \(\overrightarrow{BA} - \overrightarrow{AC} = (\overrightarrow{OA} - \overrightarrow{OB}) - (\overrightarrow{OC} - \overrightarrow{OA}) = \overrightarrow{OA} - \overrightarrow{OB} - \overrightarrow{OC} + \overrightarrow{OA}\). - Rút gọn: \(2\overrightarrow{OA} - \overrightarrow{OB} - \overrightarrow{OC}\). - Đẳng thức này không tương đương với \(\overrightarrow{BC}\). 2. Đẳng thức B: \(\overrightarrow{BA} - \overrightarrow{AC} = \overrightarrow{CB}\) - Tương tự như trên, ta có: \(\overrightarrow{BA} - \overrightarrow{AC} = 2\overrightarrow{OA} - \overrightarrow{OB} - \overrightarrow{OC}\). - Đẳng thức này không tương đương với \(\overrightarrow{CB}\). 3. Đẳng thức C: \(\overrightarrow{BA} + \overrightarrow{AC} = \overrightarrow{BC}\) - Ta có: \(\overrightarrow{BA} = \overrightarrow{OA} - \overrightarrow{OB}\) và \(\overrightarrow{AC} = \overrightarrow{OC} - \overrightarrow{OA}\). - Khi đó: \(\overrightarrow{BA} + \overrightarrow{AC} = (\overrightarrow{OA} - \overrightarrow{OB}) + (\overrightarrow{OC} - \overrightarrow{OA}) = \overrightarrow{OC} - \overrightarrow{OB}\). - Rút gọn: \(\overrightarrow{BC}\). - Đẳng thức này là đúng. 4. Đẳng thức D: \(\overrightarrow{BA} + \overrightarrow{AC} = \overrightarrow{CB}\) - Tương tự như trên, ta có: \(\overrightarrow{BA} + \overrightarrow{AC} = \overrightarrow{OC} - \overrightarrow{OB}\). - Đẳng thức này không tương đương với \(\overrightarrow{CB}\). Kết luận: Đẳng thức đúng là đẳng thức C: \(\overrightarrow{BA} + \overrightarrow{AC} = \overrightarrow{BC}\). Câu 11: A. Khoảng tử phân vị càng nhỏ thì mẫu số liệu không phân tán. Lập luận: - Khoảng tử phân vị (\(\Delta_Q\)) là hiệu số giữa tứ phân vị thứ ba (\(Q_3\)) và tứ phân vị thứ nhất (\(Q_1\)), tức là \(\Delta_Q = Q_3 - Q_1\). - Khoảng tử phân vị là một số đo độ phân tán của một mẫu số liệu. Nếu khoảng tử phân vị càng nhỏ, nghĩa là khoảng cách giữa \(Q_3\) và \(Q_1\) càng hẹp, cho thấy rằng các giá trị trong mẫu số liệu gần nhau hơn, tức là mẫu số liệu ít phân tán. - Ngược lại, nếu khoảng tử phân vị càng lớn, khoảng cách giữa \(Q_3\) và \(Q_1\) càng rộng, cho thấy rằng các giá trị trong mẫu số liệu xa nhau hơn, tức là mẫu số liệu càng phân tán. Do đó, khẳng định đúng là: A. Khoảng tử phân vị càng nhỏ thì mẫu số liệu không phân tán. Câu 12: Khối lượng thực của bao gạo nằm trong khoảng từ 19,5 kg đến 20,5 kg. Do đó, khẳng định đúng là: B. 20 là số gần đúng. Lập luận: - Số 20 là giá trị mong muốn hoặc giá trị trung bình của khoảng khối lượng thực của bao gạo. - Số 0,5 là sai số cho phép lệch của khối lượng thực so với giá trị mong muốn. - Vì vậy, 20 là số gần đúng của khối lượng thực của bao gạo. Câu 13: Để giải quyết bài toán này, chúng ta cần thực hiện các bước sau: Bước 1: Xác định tọa độ của vectơ $\overrightarrow{a}$ Vectơ $\overrightarrow{a}$ được cho dưới dạng $\overrightarrow{a} = 2\overrightarrow{i} + 5\overrightarrow{j}$. Điều này có nghĩa là tọa độ của vectơ $\overrightarrow{a}$ là $(2, 5)$. Bước 2: Xác định tọa độ của điểm $A$ Điểm $A$ có tọa độ $(2, 4)$. Bước 3: Tính toán hoặc phân tích theo yêu cầu Từ đề bài, có vẻ như có một phần bị thiếu hoặc không rõ ràng, đặc biệt là phần "điểm $A(2;4)$ và $\overline{\Psi^i}-\overline a$ a) Vectơ 2 có tọa độ là (2;5). Mã đề 0102 T." không rõ ràng về yêu cầu cụ thể. Tuy nhiên, nếu chỉ cần xác định tọa độ của vectơ $\overrightarrow{a}$ và điểm $A$, thì chúng ta đã hoàn thành. Nếu có thêm yêu cầu cụ thể nào khác, vui lòng cung cấp thêm thông tin để có thể giải quyết chính xác hơn.
Hãy giúp mọi người biết câu trả lời này thế nào?
0/5 (0 đánh giá)
thumb up 0
thumb down
0 bình luận
Bình luận
avatar
level icon
Lyn Lyn Cute

8 giờ trước

Hãy giúp mọi người biết câu trả lời này thế nào?
0/5 (0 đánh giá)
thumb up 0
thumb down
0 bình luận
Bình luận

Nếu bạn muốn hỏi bài tập

Các câu hỏi của bạn luôn được giải đáp dưới 10 phút

Ảnh ads

CÂU HỎI LIÊN QUAN

FQA.vn Nền tảng kết nối cộng đồng hỗ trợ giải bài tập học sinh trong khối K12. Sản phẩm được phát triển bởi CÔNG TY TNHH CÔNG NGHỆ GIA ĐÌNH (FTECH CO., LTD)
Điện thoại: 1900636019 Email: info@fqa.vn
location.svg Địa chỉ: Số 21 Ngõ Giếng, Phố Đông Các, Phường Đống Đa, Thành phố Hà Nội, Việt Nam.
Tải ứng dụng FQA
Người chịu trách nhiệm quản lý nội dung: Đào Trường Giang Giấy phép thiết lập MXH số 07/GP-BTTTT do Bộ Thông tin và Truyền thông cấp ngày 05/01/2024
Copyright © 2023 fqa.vn All Rights Reserved