28/08/2025

28/08/2025
29/08/2025
28/08/2025
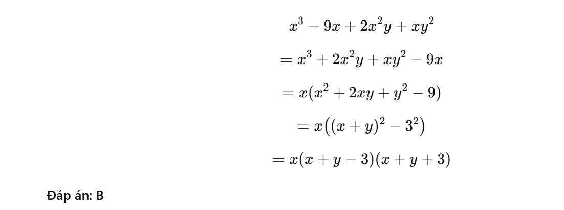
$\Rightarrow\boxed{B}$
$x^3 - 9x + 2x^2y + xy^2$
$=x(x^2 - 9 + 2xy + y^2)$
$=x[(x^2 + 2xy + y^2) - 9]$
$= x[(x + y)^2 - 3^2]$
$=x(x + y + 3)(x + y - 3)$
28/08/2025

Nếu bạn muốn hỏi bài tập
Các câu hỏi của bạn luôn được giải đáp dưới 10 phút
CÂU HỎI LIÊN QUAN
Top thành viên trả lời