avatar
level icon
Hùng Lưu

9 giờ trước

cho hàm số y= 2 mũ x2-3x+13/4. Xét tính đúng sai. a) Hàm số nghịch biến trên khoảng (-1;0). b) Hàm số đông biến trên khoảng (0;1). c) Hàm số có giá trị cực tiểu yct=2. d) Hàm số có 2 điểm cực trị.

thumb up 0
thumb down
Trả lời câu hỏi của Hùng Lưu
  • Câu trả lời phải chính xác, đầy đủ dựa trên kiến thức xác thực:
    • ✔ Đối với câu hỏi trắc nghiệm: Đưa đáp án lựa chọn + giải thích lý do chọn đáp án.
    • ✔ Đối với câu hỏi tự luận: Đưa lời giải và đáp án cho câu hỏi.
    • ✔ Đối với câu hỏi trả lời ngắn: Đưa ra đáp án + giải thích lý do.
    • ✔ Chấp nhận sử dụng ảnh do thành viên viết tay, ảnh cần rõ nét, không bị mờ, vỡ ảnh.
  • Sử dụng ngôn ngữ rõ ràng, dễ hiểu.
  • Tránh đưa ra các ý kiến cá nhân mang tính chất chủ quan.
  • Nếu sử dụng thông tin từ nguồn khác, phải trích dẫn nguồn đầy đủ và chính xác.
  • Tuyệt đối không được sao chép các thông tin từ các trang khác, từ AI hoặc chatGPT.
CÂU TRẢ LỜI
avatar
Timi

9 giờ trước

Trợ lý học tập AI - Câu trả lời này chỉ mang tính tham khảo
Để xét tính đúng sai của các khẳng định về hàm số \( y = 2^{x^2 - 3x + \frac{13}{4}} \), chúng ta sẽ thực hiện các bước sau: Bước 1: Tìm đạo hàm của hàm số Hàm số \( y = 2^{x^2 - 3x + \frac{13}{4}} \) có dạng \( y = a^u \) với \( a = 2 \) và \( u = x^2 - 3x + \frac{13}{4} \). Đạo hàm của \( y \) theo \( x \) là: \[ y' = 2^u \cdot \ln(2) \cdot u' \] \[ u = x^2 - 3x + \frac{13}{4} \] \[ u' = 2x - 3 \] Do đó: \[ y' = 2^{x^2 - 3x + \frac{13}{4}} \cdot \ln(2) \cdot (2x - 3) \] Bước 2: Xét dấu của đạo hàm Để xét tính đồng biến và nghịch biến của hàm số, chúng ta cần xét dấu của \( y' \). Khẳng định a: Hàm số nghịch biến trên khoảng (-1;0) Trên khoảng \((-1; 0)\): \[ 2x - 3 < 0 \quad \text{(vì \( 2x \) luôn nhỏ hơn 3 trong khoảng này)} \] \[ 2^{x^2 - 3x + \frac{13}{4}} > 0 \quad \text{(luôn dương)} \] \[ \ln(2) > 0 \] Do đó: \[ y' = 2^{x^2 - 3x + \frac{13}{4}} \cdot \ln(2) \cdot (2x - 3) < 0 \] Vậy hàm số nghịch biến trên khoảng \((-1; 0)\). Khẳng định a đúng. Khẳng định b: Hàm số đồng biến trên khoảng (0;1) Trên khoảng \((0; 1)\): \[ 2x - 3 < 0 \quad \text{(vì \( 2x \) luôn nhỏ hơn 3 trong khoảng này)} \] \[ 2^{x^2 - 3x + \frac{13}{4}} > 0 \quad \text{(luôn dương)} \] \[ \ln(2) > 0 \] Do đó: \[ y' = 2^{x^2 - 3x + \frac{13}{4}} \cdot \ln(2) \cdot (2x - 3) < 0 \] Vậy hàm số nghịch biến trên khoảng \((0; 1)\). Khẳng định b sai. Bước 3: Tìm giá trị cực tiểu và điểm cực trị Để tìm giá trị cực tiểu và điểm cực trị, chúng ta cần giải phương trình \( y' = 0 \). \[ y' = 2^{x^2 - 3x + \frac{13}{4}} \cdot \ln(2) \cdot (2x - 3) = 0 \] Vì \( 2^{x^2 - 3x + \frac{13}{4}} \cdot \ln(2) \neq 0 \), nên: \[ 2x - 3 = 0 \] \[ x = \frac{3}{2} \] Khẳng định c: Hàm số có giá trị cực tiểu \( y_{\text{ct}} = 2 \) Thay \( x = \frac{3}{2} \) vào hàm số: \[ y = 2^{\left(\frac{3}{2}\right)^2 - 3 \cdot \frac{3}{2} + \frac{13}{4}} \] \[ y = 2^{\frac{9}{4} - \frac{9}{2} + \frac{13}{4}} \] \[ y = 2^{\frac{9}{4} - \frac{18}{4} + \frac{13}{4}} \] \[ y = 2^{\frac{4}{4}} \] \[ y = 2^1 = 2 \] Vậy hàm số có giá trị cực tiểu \( y_{\text{ct}} = 2 \). Khẳng định c đúng. Khẳng định d: Hàm số có 2 điểm cực trị Hàm số \( y = 2^{x^2 - 3x + \frac{13}{4}} \) chỉ có một điểm cực trị tại \( x = \frac{3}{2} \). Vậy hàm số có 1 điểm cực trị. Khẳng định d sai. Kết luận a) Đúng b) Sai c) Đúng d) Sai
Hãy giúp mọi người biết câu trả lời này thế nào?
0/5 (0 đánh giá)
thumb up 0
thumb down
0 bình luận
Bình luận
avatar
level icon
hẹ hẹ

8 giờ trước

message-box-blue.svg Trả lời tham khảo

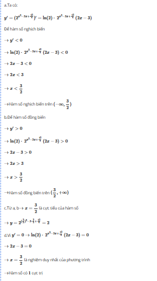
a. Ta có:  

$ y' = \left( 2^{x^2 - 3x + \dfrac{13}{4}} \right)' = \ln(2) \cdot 2^{x^2 - 3x + \dfrac{13}{4}} (2x - 3)$  

Để hàm số nghịch biến  

$ y' < 0 $  

$\Rightarrow \ln(2) \cdot 2^{x^2 - 3x + \dfrac{13}{4}} (2x - 3)< 0 $  

$\Rightarrow 2x - 3 < 0 $  

$\Rightarrow 2x < 3 $  

$\Rightarrow x < \dfrac{3}{2} $  

$\Rightarrow$ Hàm số nghịch biến trên $(-\infty; \dfrac{3}{2})$.  

b. Để hàm số đồng biến  

$ y' > 0 $  

$\Rightarrow \ln(2) \cdot 2^{x^2 - 3x + \dfrac{13}{4}} (2x - 3)> 0 $  

$\Rightarrow 2x - 3 > 0 $  

$\Rightarrow 2x > 3 $  

$\Rightarrow x > \dfrac{3}{2} $  

$\Rightarrow x > \dfrac{3}{2}$  

$\Rightarrow$ Hàm số đồng biến trên $\left( \dfrac{3}{2}, +\infty\right)$.  

c. Từ a, b $\Rightarrow x = \dfrac{3}{2}$ là cực tiểu của hàm số  

$\Rightarrow y = 2^{\left(\dfrac{3}{2}\right)^2 - 3 \cdot \dfrac{3}{2}+ \dfrac{13}{4}} = 2$  

d. Vì $y' = 0 \Rightarrow \ln(2) \cdot 2^{x^2 - 3x + \dfrac{13}{4}}(2x - 3) = 0$ 

$\Rightarrow 2x - 3 = 0$  

$\Rightarrow x = \dfrac{3}{2}$ là nghiệm duy nhất của phương trình  

$\Rightarrow$ Hàm số có 1 cực trị  

Hãy giúp mọi người biết câu trả lời này thế nào?
0/5 (0 đánh giá)
thumb up 0
thumb down
0 bình luận
Bình luận
avatar
level icon
lengoc

9 giờ trước

Hãy giúp mọi người biết câu trả lời này thế nào?
0/5 (0 đánh giá)
thumb up 0
thumb down
0 bình luận
Bình luận

Nếu bạn muốn hỏi bài tập

Các câu hỏi của bạn luôn được giải đáp dưới 10 phút

Ảnh ads

CÂU HỎI LIÊN QUAN

FQA.vn Nền tảng kết nối cộng đồng hỗ trợ giải bài tập học sinh trong khối K12. Sản phẩm được phát triển bởi CÔNG TY TNHH CÔNG NGHỆ GIA ĐÌNH (FTECH CO., LTD)
Điện thoại: 1900636019 Email: info@fqa.vn
location.svg Địa chỉ: Số 21 Ngõ Giếng, Phố Đông Các, Phường Ô Chợ Dừa, Quận Đống Đa, Thành phố Hà Nội, Việt Nam.
Tải ứng dụng FQA
Người chịu trách nhiệm quản lý nội dung: Nguyễn Tuấn Quang Giấy phép thiết lập MXH số 07/GP-BTTTT do Bộ Thông tin và Truyền thông cấp ngày 05/01/2024
Copyright © 2023 fqa.vn All Rights Reserved