3 giờ trước

3 giờ trước
2 giờ trước
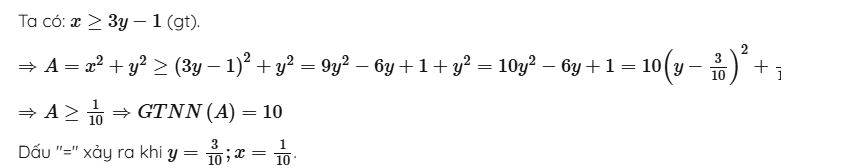
Bất đẳng thức Bunyakovsky cho hai bộ số $(a, b)$ và $(x, y)$ là: $(ax + by)^2 \leq (a^2 + b^2)(x^2 + y^2)$
Suy ra: $(1 \cdot x + 3 \cdot y)^2 \leq (1^2 + 3^2)(x^2 + y^2)$
$(x + 3y)^2 \leq (1 + 9)(x^2 + y^2)$
$(x + 3y)^2 \leq 10(x^2 + y^2)$
Vì theo giả thiết $x + 3y \geq 1$, nên $(x + 3y)^2 \geq 1^2 = 1$. Từ đó ta suy ra:
$1 \leq 10(x^2 + y^2)$
$\Rightarrow x^2 + y^2 \geq \frac{1}{10}$
Giá trị nhỏ nhất của $C$ là $\frac{1}{10}$ (hay $0,1$), dấu "=" xảy ra khi $x = \frac{1}{10}$ và $y = \frac{3}{10}$
2 giờ trước
Do $x+3y\ge1$ đặt $x+3y=1+a\left(a\ge0\right)$
⇒ $x=1+a-3y$
Thay vào C ta có: $C=10y^2-6ay-6y+a^2+2a+1$
$C=10\left\lbrack y-\frac{3}{10}\left(a+1\right)\right\rbrack^2+\frac{1}{10}\left(a^2+2a\right)+\frac{1}{10}\ge\frac{1}{10}$
Dấu "=" xảy ra kvck $x=\frac{1}{10};y=\frac{3}{10}$.
3 giờ trước

Nếu bạn muốn hỏi bài tập
Các câu hỏi của bạn luôn được giải đáp dưới 10 phút
CÂU HỎI LIÊN QUAN
Top thành viên trả lời