avatar
level icon
Hungg Phuc

7 giờ trước

giải giúp tôi

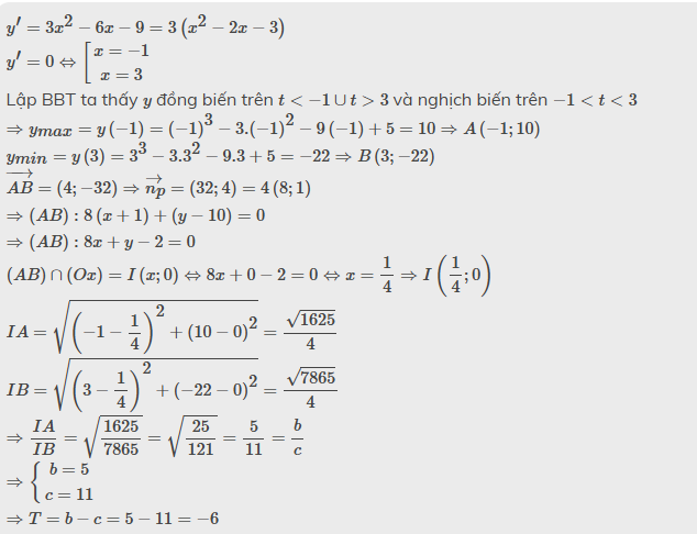
Câu 2. Đồ thị hàm số $y=x^3-3x^2-9x+5$ có điểm cực đại và điểm cực tiểu lần lượt là A và B . Gọ
rotate image
thumb up 0
thumb down
Trả lời câu hỏi của Hungg Phuc
  • Câu trả lời phải chính xác, đầy đủ dựa trên kiến thức xác thực:
    • ✔ Đối với câu hỏi trắc nghiệm: Đưa đáp án lựa chọn + giải thích lý do chọn đáp án.
    • ✔ Đối với câu hỏi tự luận: Đưa lời giải và đáp án cho câu hỏi.
    • ✔ Đối với câu hỏi trả lời ngắn: Đưa ra đáp án + giải thích lý do.
    • ✔ Chấp nhận sử dụng ảnh do thành viên viết tay, ảnh cần rõ nét, không bị mờ, vỡ ảnh.
  • Sử dụng ngôn ngữ rõ ràng, dễ hiểu.
  • Tránh đưa ra các ý kiến cá nhân mang tính chất chủ quan.
  • Nếu sử dụng thông tin từ nguồn khác, phải trích dẫn nguồn đầy đủ và chính xác.
  • Tuyệt đối không được sao chép các thông tin từ các trang khác, từ AI hoặc chatGPT.
CÂU TRẢ LỜI
avatar
Timi

7 giờ trước

Trợ lý học tập AI - Câu trả lời này chỉ mang tính tham khảo
Câu 2: Để giải bài toán này, trước tiên chúng ta cần tìm các điểm cực đại và cực tiểu của hàm số \( y = x^3 - 3x^2 - 9x + 5 \). Bước 1: Tính đạo hàm và tìm các điểm cực trị Tính đạo hàm của hàm số: \[ y' = 3x^2 - 6x - 9. \] Để tìm các điểm cực trị, ta giải phương trình \( y' = 0 \): \[ 3x^2 - 6x - 9 = 0. \] Chia cả hai vế cho 3, ta được: \[ x^2 - 2x - 3 = 0. \] Giải phương trình bậc hai này, ta có: \[ x = \frac{2 \pm \sqrt{(-2)^2 - 4 \cdot 1 \cdot (-3)}}{2 \cdot 1} = \frac{2 \pm \sqrt{4 + 12}}{2} = \frac{2 \pm \sqrt{16}}{2} = \frac{2 \pm 4}{2}. \] Do đó, \( x_1 = 3 \) và \( x_2 = -1 \). Bước 2: Xác định điểm cực đại và cực tiểu Tính giá trị của hàm số tại \( x_1 = 3 \) và \( x_2 = -1 \): - Với \( x = 3 \): \[ y(3) = 3^3 - 3 \cdot 3^2 - 9 \cdot 3 + 5 = 27 - 27 - 27 + 5 = -22. \] - Với \( x = -1 \): \[ y(-1) = (-1)^3 - 3 \cdot (-1)^2 - 9 \cdot (-1) + 5 = -1 - 3 + 9 + 5 = 10. \] Vậy điểm cực đại là \( B(-1, 10) \) và điểm cực tiểu là \( A(3, -22) \). Bước 3: Tìm giao điểm I của AB với trục Ox Phương trình đường thẳng \( AB \) có dạng: \[ y - y_1 = \frac{y_2 - y_1}{x_2 - x_1}(x - x_1), \] với \( A(3, -22) \) và \( B(-1, 10) \). Hệ số góc của đường thẳng \( AB \) là: \[ m = \frac{10 - (-22)}{-1 - 3} = \frac{32}{-4} = -8. \] Phương trình đường thẳng \( AB \) là: \[ y + 22 = -8(x - 3). \] Rút gọn phương trình: \[ y + 22 = -8x + 24 \] \[ y = -8x + 2. \] Giao điểm của \( AB \) với trục Ox là khi \( y = 0 \): \[ 0 = -8x + 2 \] \[ 8x = 2 \] \[ x = \frac{1}{4}. \] Vậy giao điểm \( I \left( \frac{1}{4}, 0 \right) \). Bước 4: Tính tỷ số \(\frac{IA}{IB}\) Tính khoảng cách \( IA \) và \( IB \): - \( IA = \left| \frac{1}{4} - 3 \right| = \left| \frac{1}{4} - \frac{12}{4} \right| = \left| -\frac{11}{4} \right| = \frac{11}{4}. \) - \( IB = \left| \frac{1}{4} - (-1) \right| = \left| \frac{1}{4} + 1 \right| = \left| \frac{1}{4} + \frac{4}{4} \right| = \frac{5}{4}. \) Tỷ số \(\frac{IA}{IB} = \frac{\frac{11}{4}}{\frac{5}{4}} = \frac{11}{5} = \frac{b}{c}\) với \( b = 11 \) và \( c = 5 \). Bước 5: Tính \( T = b + c \) \[ T = 11 + 5 = 16. \] Vậy giá trị của \( T \) là 16.
Hãy giúp mọi người biết câu trả lời này thế nào?
0/5 (0 đánh giá)
thumb up 0
thumb down
0 bình luận
Bình luận
avatar
level icon
Quocthien222

7 giờ trước

Hãy giúp mọi người biết câu trả lời này thế nào?
0/5 (0 đánh giá)
thumb up 0
thumb down
0 bình luận
Bình luận

Nếu bạn muốn hỏi bài tập

Các câu hỏi của bạn luôn được giải đáp dưới 10 phút

Ảnh ads

CÂU HỎI LIÊN QUAN

FQA.vn Nền tảng kết nối cộng đồng hỗ trợ giải bài tập học sinh trong khối K12. Sản phẩm được phát triển bởi CÔNG TY TNHH CÔNG NGHỆ GIA ĐÌNH (FTECH CO., LTD)
Điện thoại: 1900636019 Email: info@fqa.vn
location.svg Địa chỉ: Số 21 Ngõ Giếng, Phố Đông Các, Phường Ô Chợ Dừa, Quận Đống Đa, Thành phố Hà Nội, Việt Nam.
Tải ứng dụng FQA
Người chịu trách nhiệm quản lý nội dung: Nguyễn Tuấn Quang Giấy phép thiết lập MXH số 07/GP-BTTTT do Bộ Thông tin và Truyền thông cấp ngày 05/01/2024
Copyright © 2023 fqa.vn All Rights Reserved